How Do You Solve a System with Variables and Constants?

Click For Summary

Homework Help Overview

The discussion revolves around a system of equations involving variables A1, A2, A3, A4, and constants c, d, and w. Participants are examining the nature of the system, particularly its linearity and the correctness of certain expressions derived from it.

Discussion Character

  • Conceptual clarification, Assumption checking, Mixed

Approaches and Questions Raised

  • Some participants verify expressions for A2 and A4, while questioning the correctness of A3. Others suggest that the system may lend itself to Cramer's rule due to specific characteristics of the equations. There is also a debate regarding the linearity of the system, with differing opinions on whether the presence of w affects this classification.

Discussion Status

The discussion is active, with participants providing feedback on the original poster's attempts and exploring different interpretations of the system's properties. There is no explicit consensus on the nature of the equations, but productive dialogue is occurring around the verification of expressions and the classification of the system.

Contextual Notes

Participants are navigating potential misunderstandings regarding the variables and constants involved, particularly concerning the role of w in the equations. The original poster's attempts are accompanied by external references to images, which may influence the discussion's direction.

JaZZyCooL
Messages
7
Reaction score
0

Homework Statement


Solve the following system of equations

Homework Equations


A1 + A3 = 0
cA1 + A2 + A4 = 0
dA1 + cA2 + w^2 A3 = 1
dA2 + w^2A4 = 0

The Attempt at a Solution



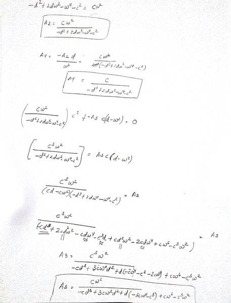
https://imgur.com/YSG5oGN - Page 1
https://imgur.com/dGbccsE - Page 2
 
Physics news on Phys.org
I checked with Mathematica. Your expressions for A2 and A4 are correct. Your expression for A3 is not.
 
  • Like
Likes   Reactions: scottdave
kuruman said:
I checked with Mathematica. Your expressions for A2 and A4 are correct. Your expression for A3 is not.
Knowing that, the OP should be able to easily fix A1 and A3.
 
scottdave said:
Knowing that, the OP should be able to easily fix A1 and A3.
I agree. This particular system lends itself to using Cramer's rule because of all the zeroes on the right hand side.
 
JaZZyCooL said:

Homework Statement


Solve the following system of equations

Homework Equations


A1 + A3 = 0
cA1 + A2 + A4 = 0
dA1 + cA2 + w^2 A3 = 1
dA2 + w^2A4 = 0

The Attempt at a Solution



https://imgur.com/YSG5oGN - Page 1
https://imgur.com/dGbccsE - Page 2
Here is your Page 1:
YSG5oGN.jpg


Here is your Page 2:
dGbccsE.jpg
 

Attachments

  • YSG5oGN.jpg
    YSG5oGN.jpg
    24.9 KB · Views: 377
  • dGbccsE.jpg
    dGbccsE.jpg
    27.3 KB · Views: 386
the system shows two nonlinear equations. Not linear system.
 
symbolipoint said:
the system shows two nonlinear equations. Not linear system.
The system is linear in A1, A2, A3, and A4 .
 
SammyS said:
The system is linear in A1, A2, A3, and A4 .
These two equations are shown in the system:
dA1 + cA2 + w^2 A3 = 1
dA2 + w^2A4 = 0
Not linear. That shows an exponent of 2 on the w. If I misunderstand, then w is not a variable; but A1, A2, and A3 must be the variables. If this latter is the case, then yes; linear system.
 

Similar threads

Replies
9
Views
3K
  • · Replies 22 ·
Replies
22
Views
4K
  • · Replies 5 ·
Replies
5
Views
2K
  • · Replies 19 ·
Replies
19
Views
3K
Replies
6
Views
4K
  • · Replies 7 ·
Replies
7
Views
2K
Replies
2
Views
2K
  • · Replies 4 ·
Replies
4
Views
2K
Replies
3
Views
3K
  • · Replies 8 ·
Replies
8
Views
3K