How Do You Solve an Integral with Two Variables?

  • Context: MHB 
  • Thread starter Thread starter goohu
  • Start date Start date
  • Tags Tags
    Integral Variables
Click For Summary

Discussion Overview

The discussion revolves around solving a double integral involving two variables, where participants share their approaches, calculations, and results. The focus is on the integration process and the discrepancies observed between hand calculations and results obtained from an online calculator.

Discussion Character

  • Mathematical reasoning, Debate/contested

Main Points Raised

  • One participant expresses confusion over the integral's format and attempts to integrate in different orders without success.
  • Another participant provides a detailed calculation of the integral, arriving at a specific numerical result.
  • A third participant confirms the calculations but notes a discrepancy when comparing results with an online calculator, suggesting a potential error in hand calculations.
  • Further discussion reveals that the same participant cannot find an error in their calculations, leading to uncertainty about the differences in results.
  • Another participant points out a possible sign error in the calculations, indicating that it may affect the final result.
  • One participant acknowledges the timing of their response in relation to another's post, indicating a collaborative effort in solving the problem.

Areas of Agreement / Disagreement

There is no consensus on the correct result of the integral, as participants have arrived at different answers and are debating the validity of their calculations.

Contextual Notes

Participants express uncertainty regarding the correctness of their hand calculations compared to results from an online calculator, highlighting potential issues with arithmetic or sign errors.

goohu
Messages
53
Reaction score
3
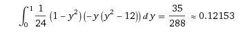
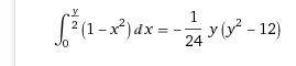
Hey there, trying to figure out how to solve this integral (see picture).

View attachment 8728

I've never seen an integral written in this way before.

I've tried to integrate the x-part first and then the y-part and vice versa but they both gave the wrong results.
 

Attachments

  • dd.JPG
    dd.JPG
    3.2 KB · Views: 128
  • dd.JPG
    dd.JPG
    8.6 KB · Views: 116
  • dd.JPG
    dd.JPG
    4.3 KB · Views: 153
Last edited:
Physics news on Phys.org
First [tex]\int_0^{y/2} (1- x^2) dx= \left[x- \frac{x^3}{3}\right]_0^{y/2}= \frac{y}{2}- \frac{1}{3}\frac{y^3}{8}[/tex]

Then [tex]\int_0^1 (1- y^2)(\frac{y}{2}- \frac{y^3}{24} dy= \int_0^1 \frac{y}{2}- \frac{13y^3}{24}+ \frac{y^5}{24} dy= \left[\frac{y^2}{4}- \frac{13y^4}{96}+ \frac{y^6}{144}\right]_0^1= \frac{1}{4}- \frac{13}{96}+ \frac{1}{144}= \frac{72+ 39+ 2}{288}= \frac{113}{288}[/tex].

Finally, [tex]\frac{9}{4}\frac{113}{288}= \frac{113}{128}[/tex].
(Check my arithmetic.)
 
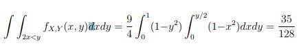
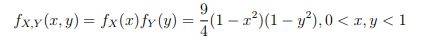
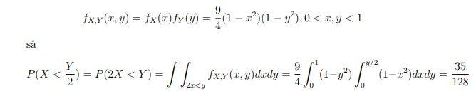
thanks for the quick reply. I re-did your calculations and get the same results as you. After using wolfram alpha (online calculator) i get different results though:

first step:
View attachment 8730

second step:
View attachment 8731

(35/288)*(9/4) = 35/128 = correct answer.

This is weird and its bugging me. Are the hand calculation wrong somewhere?
 

Attachments

  • 1st.JPG
    1st.JPG
    2.2 KB · Views: 135
  • 2st.JPG
    2st.JPG
    3.1 KB · Views: 126
goohu said:
thanks for the quick reply. I re-did your calculations and get the same results as you. After using wolfram alpha (online calculator) i get different results though:

first step:second step:(35/288)*(9/4) = 35/128 = correct answer.

This is weird and its bugging me. Are the hand calculation wrong somewhere?
That's why I deleted my post in this thread. I can't find an error in Country Boy's result, which is essentially identical to my own. I can't explain why the two are different.

-Dan
 
goohu said:
thanks for the quick reply. I re-did your calculations and get the same results as you. After using wolfram alpha (online calculator) i get different results though:

first step:second step:(35/288)*(9/4) = 35/128 = correct answer.

This is weird and its bugging me. Are the hand calculation wrong somewhere?

Country Boy said:
[tex]\ldots = \frac{1}{4}- \frac{13}{96}+ \frac{1}{144}= \frac{72+ 39+ 2}{288}= \frac{113}{288}[/tex]

It's a plus-and-minus thing.
It should be [tex]\frac{1}{4}- \frac{13}{96}+ \frac{1}{144}= \frac{72 {\color{red}-} 39+ 2}{288}= \frac{35}{288}[/tex]
 
heh found it.

$$\displaystyle \frac{1}{4}-\frac{13}{96}+\frac{1}{144} = \frac{72-39+2}{288}$$
while i was figuring out how to post equations klaas beat me to it. Cheers anyways!
 

Similar threads

  • · Replies 11 ·
Replies
11
Views
3K
  • · Replies 4 ·
Replies
4
Views
2K
  • · Replies 8 ·
Replies
8
Views
4K
  • · Replies 15 ·
Replies
15
Views
4K
  • · Replies 1 ·
Replies
1
Views
2K
  • · Replies 2 ·
Replies
2
Views
2K
  • · Replies 1 ·
Replies
1
Views
3K
  • · Replies 1 ·
Replies
1
Views
2K
  • · Replies 3 ·
Replies
3
Views
2K
  • · Replies 2 ·
Replies
2
Views
3K