How Do You Solve Gamma Function Identities?

Click For Summary
SUMMARY

The discussion focuses on solving identities related to the Gamma function, specifically the identities involving negative integers and half-integers. The third identity, Γ(-k+1/2) = (2√π)/(2^{-2k}) (Γ(-2k)/Γ(-k)), and the first identity, Γ(1+(-k-1/2)) = (-k-1/2)Γ(-k-1/2), are explored but initially do not yield satisfactory results. The participant suggests that combining these identities with an induction argument may provide a clearer path to a solution.

PREREQUISITES
  • Understanding of Gamma function properties and identities
  • Familiarity with mathematical induction techniques
  • Basic knowledge of complex analysis concepts
  • Experience with mathematical problem-solving strategies
NEXT STEPS
  • Study the derivation and applications of Gamma function identities
  • Learn about mathematical induction and its use in proofs
  • Explore advanced topics in complex analysis related to the Gamma function
  • Investigate other special functions and their relationships with the Gamma function
USEFUL FOR

Students and researchers in mathematics, particularly those focusing on complex analysis, special functions, and mathematical proofs involving the Gamma function.

binbagsss
Messages
1,291
Reaction score
12

Homework Statement



To show:

gammques.png

Homework Equations



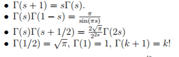
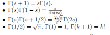
gamide.png

The Attempt at a Solution


To be honest, I'm pretty stuck.

I could try to use the third identity:
##\Gamma(-k+\frac{1}{2})=\frac{2\sqrt{\pi}}{2^{-2k}}\frac{\Gamma(-2k)}{\Gamma(-k)} ##

but this doesn't really seem to get me anywhere.

I could also try to use the first identity, by adding and subtracting a 1/2:

##\Gamma(1+(-k-\frac{1}{2}))=(-k-\frac{1}{2})\Gamma(-k-\frac{1}{2})##

Which again doesn't seem to help..

Thanks in advance.
 
Physics news on Phys.org
binbagsss said:

Homework Statement



To show:

View attachment 211112

Homework Equations



View attachment 211111

The Attempt at a Solution


To be honest, I'm pretty stuck.

I could try to use the third identity:
##\Gamma(-k+\frac{1}{2})=\frac{2\sqrt{\pi}}{2^{-2k}}\frac{\Gamma(-2k)}{\Gamma(-k)} ##

but this doesn't really seem to get me anywhere.

I could also try to use the first identity, by adding and subtracting a 1/2:

##\Gamma(1+(-k-\frac{1}{2}))=(-k-\frac{1}{2})\Gamma(-k-\frac{1}{2})##

Which again doesn't seem to help..
It (the last version) helps a lot if you combine it with an induction argument.
 

Similar threads

  • · Replies 14 ·
Replies
14
Views
3K
Replies
4
Views
3K
  • · Replies 1 ·
Replies
1
Views
2K
  • · Replies 6 ·
Replies
6
Views
2K
  • · Replies 3 ·
Replies
3
Views
3K
  • · Replies 4 ·
Replies
4
Views
2K
  • · Replies 2 ·
Replies
2
Views
2K
Replies
1
Views
2K
  • · Replies 2 ·
Replies
2
Views
1K
  • · Replies 14 ·
Replies
14
Views
3K