How Do Zeroes of a Function Relate to Its Integral?

Click For Summary

Homework Help Overview

The discussion revolves around the function f(x) = 3x^2 - 4x - 8 and its relationship with its integral, particularly focusing on the values of 'a' that satisfy a derived equation. Participants are exploring the implications of the function's zeros and how they relate to the area under the curve represented by the integral.

Discussion Character

  • Exploratory, Conceptual clarification, Assumption checking

Approaches and Questions Raised

  • Participants attempt to find values of 'a' and express their findings in relation to the function. Questions arise about the significance of the zeros of the function and how they connect to the integral. There is also discussion about the interpretation of areas under the curve and how to represent them with integrals.

Discussion Status

The discussion is active, with participants sharing insights and clarifying concepts. Some guidance has been provided regarding the interpretation of areas under the curve and the relationship between the function's zeros and the integral. Multiple interpretations of the integral's limits are being explored, indicating a productive exchange of ideas.

Contextual Notes

Participants express uncertainty about the relationship between the zeros of the function and the integral, as well as the limits for calculating areas. There is acknowledgment of mistakes in the initial equations presented, which may affect the discussion's direction.

Kolika28
Messages
146
Reaction score
28

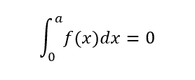
Homework Statement


You are given the function

f(x)=3x^2-4x-8

a) Find the values of a.
upload_2018-9-18_18-53-40.png

Explain the answers using the function.

Homework Equations

The Attempt at a Solution


a^3-2*a^2-8*a=0
a=-2 v a=0 v a=4

I found the answers, but I don't know how to explain my answers by using the function. What does the zeros of the orginal function has to do with the function I integrated?
Thank you so much for help
 

Attachments

  • upload_2018-9-18_18-53-40.png
    upload_2018-9-18_18-53-40.png
    946 bytes · Views: 825
Last edited:
Physics news on Phys.org
Kolika28 said:

Homework Statement


You are given the function

f(x)=3x^2-4x-8

a) Find the values of a.
View attachment 230840
Explain the answers using the function.

Homework Equations

The Attempt at a Solution


a^3+2*a^2+8*a=0
a=-2 v a=0 v a=4[/B]

I found the answers, but I don't know how to explain my answers by using the function. What does the zeros of the orginal function has to do with the function I integrated?
Thank you so much for help

What's the most common interpretation of an integral?
 
Hmm, it gives you the area under the curve of a function?
 
Kolika28 said:
Hmm, it gives you the area under the curve of a function?

It does indeed!
 
I'm sorry, but I still don't see the importance of the zeros . I'm a slow learner
 
Kolika28 said:
I'm sorry, but I still don't see the importance of the zeros . I'm a slow learner

Draw a graph of the function ##f##. Alternatively, what might a total area of ##0## mean?
 
upload_2018-9-18_19-19-49.png

I have drawn the function. An area of zero means that it has to be two areas, one over x-axis, and one under, with the same area?
 

Attachments

  • upload_2018-9-18_19-19-49.png
    upload_2018-9-18_19-19-49.png
    4.4 KB · Views: 738
Kolika28 said:
View attachment 230841
I have drawn the function. An area of zero means that it has to be two areas, one over x-axis, and one under, with the same area?

Yes, exactly. Starting from the y-axis in this case. If you changed the lower limit on the integral from ##0##, then you would be calculating the area from a different starting point.
 
Kolika28 said:

Homework Statement


You are given the function

f(x)=3x^2-4x-8

a) Find the values of a.
View attachment 230840
Explain the answers using the function.

Homework Equations

The Attempt at a Solution


a^3+2*a^2+8*a=0
a=-2 v a=0 v a=4[/B]

I found the answers, but I don't know how to explain my answers by using the function. What does the zeros of the orginal function has to do with the function I integrated?
Thank you so much for help

If you wrote ##f(x)## correctly, then your integral ##F(a) =a^3 + 2 a^2 + 8a## is incorrect. Your written ##F(a)## has roots ##a = 0, -1 \pm i \sqrt{7}.##
 
  • Like
Likes   Reactions: Kolika28
  • #10
Ohh, that gives so much sense. Thank you so much, PeroK. I have one last question, it's not a part of the task, but I'm just wondering. If I were to mark both of areas, how would I do it by looking at the function?
 
  • #11
I'm sorry, Ray Vickson. I made a mistake when writing the equation here on the chat, the answer are correct though. I will fix it now.
 
  • #12
Kolika28 said:
Ohh, that gives so much sense. Thank you so much, PeroK. I have one last question, it's not a part of the task, but I'm just wondering. If I were to mark both of areas, how would I do it by looking at the function?

I'm not sure that you mean. You can see with this function that it's not actually very easy to compare the different areas. In the end, computing the integral is the best way to compare areas, for all but the simplest functions.
 
  • #13
I mean, if I were to express both of the areas with an integral, what would the limits on the integrals be? Would one of them have limits -2 and 0, and the other one would have the limits 0 and 4. I know that's wrong, but how am I supposed to find the limits?
 
  • #14
Kolika28 said:
I mean, if I were to express both of the areas with an integral, what would the limits on the integrals be? Would one of them have limits -2 and 0, and the other one would have the limits 0 and 4. I know that's wrong, but how am I supposed to find the limits?

What you found was that the integral from ##-2## to ##0## is zero; and, the integral from ##0## to ##4## is zero.

You can more or less see this from the graph.
 
  • #15
PeroK said:
What you found was that the integral from ##-2## to ##0## is zero; and, the integral from ##0## to ##4## is zero.

You can more or less see this from the graph.
I understand now. Thank you very much for your help, and not least for your patience. It takes some time for me to understand math, but you really helped me.
 

Similar threads

  • · Replies 5 ·
Replies
5
Views
2K
Replies
20
Views
2K
  • · Replies 9 ·
Replies
9
Views
2K
  • · Replies 10 ·
Replies
10
Views
2K
  • · Replies 2 ·
Replies
2
Views
3K
Replies
2
Views
1K
Replies
3
Views
2K
  • · Replies 4 ·
Replies
4
Views
2K
  • · Replies 9 ·
Replies
9
Views
2K
  • · Replies 3 ·
Replies
3
Views
2K