How Does Modifying Numerator and Denominator Affect the Value of a Fraction?

  • Context: MHB 
  • Thread starter Thread starter emon2001
  • Start date Start date
Click For Summary
SUMMARY

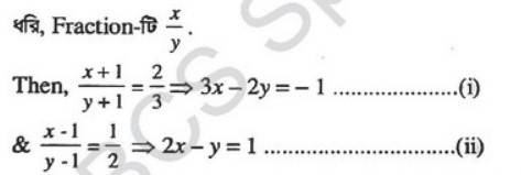
The discussion centers on solving a system of equations derived from modifying the numerator and denominator of a fraction. The equations presented are 3x - 2y = -1 and 2x - y = 1, which arise from the conditions that adding 1 to both the numerator and denominator results in 2/3, and subtracting 1 results in 1/2. The solution involves substituting y from the second equation into the first to isolate x, ultimately leading to the values of x and y that satisfy both equations.

PREREQUISITES
  • Understanding of algebraic equations and systems of equations
  • Familiarity with fraction manipulation and properties
  • Knowledge of substitution methods in solving equations
  • Basic skills in arithmetic operations involving fractions
NEXT STEPS
  • Study methods for solving systems of linear equations, particularly substitution and elimination
  • Explore the properties of fractions and how modifications affect their values
  • Learn about graphical representations of linear equations and their intersections
  • Practice solving word problems that involve fractions and algebraic equations
USEFUL FOR

Students, educators, and anyone looking to enhance their understanding of algebra, particularly in solving equations involving fractions and systems of equations.

emon2001
Messages
1
Reaction score
0
Hello, I am recently suffering from a math question that even my teacher can not answer. Please have a look at the image( sorry for low resolution ) . Here you can see the result of the equation is 3x - 2y = -1 . I don't know what is the rules here. Please somebody explain this to me how this work. Thanks for reading this.
 

Attachments

  • fraction.jpg
    fraction.jpg
    7.9 KB · Views: 125
Mathematics news on Phys.org
Hi emon2001, welcome to MHB!

I don't quite understand what you wanted us to do. Do you mean to ask for the value for $\dfrac{x}{y}$, given the system of equations?
 
There is NO question here!

We are given a fraction, $\frac{x}{y}$.

Apparently we are told that if we add 1 to both numerator and denominator we get $\frac{2}{3}$. That is, $\frac{x+1}{y+ 1}= \frac{2}{3}$. Multiplying both sides by 3(y+ 1) gives 3(x+ 1)= 2(y+ 1) so 3x+ 3= 2y+ 2. Subtract 2y+ 3 from both sides to get 3x- 2y= -1.

We are also told that if we subtract 1 from both numerator and denominator we get $\frac{1}{2}$. That is, $\frac{x- 1}{y- 1}= \frac{1}{2}$. Multiplying both sides by 2(y-1) gives 2(x- 1)= y- 1 so 2x- 2= y- 1. Subtract y and add 2 to both sides to get 2x- y= 1.

We now have the two equations 3x- 2y= -1 and 2x- y= 1 and, I presume, want to find values of x and y that satisfy both equations. From the second equation y= 2x- 1. Replace y in 3x- 2y= -1 by that to get an equation in x only and solve that equation for x. Then use y= 2x- 1 with that value of x to find y.
 
Last edited:

Similar threads

  • · Replies 10 ·
Replies
10
Views
3K
  • · Replies 3 ·
Replies
3
Views
3K
Replies
2
Views
3K
  • · Replies 1 ·
Replies
1
Views
2K
  • · Replies 7 ·
Replies
7
Views
5K
Replies
13
Views
3K
Replies
3
Views
2K
  • · Replies 14 ·
Replies
14
Views
5K
  • · Replies 8 ·
Replies
8
Views
3K
  • · Replies 18 ·
Replies
18
Views
3K