Powers with fractional exponents that have an even denominator

Click For Summary

Homework Help Overview

The discussion revolves around the interpretation and evaluation of expressions involving fractional exponents, particularly those with even denominators. The original poster raises questions about the ambiguity in results when applying different methods to evaluate expressions like \((\sqrt{5})^2\) and the implications of using the power rule for radicals.

Discussion Character

  • Exploratory, Conceptual clarification, Mathematical reasoning, Assumption checking

Approaches and Questions Raised

  • The original poster attempts to clarify the correct interpretation of \((\sqrt{5})^2\) and whether it should yield a positive or negative result. They explore the implications of different methods of simplification and the application of the power rule for radicals.
  • Some participants question the validity of equating \(\sqrt{25}\) to \(\pm 5\) and emphasize that \(\sqrt{a}\) is defined as the positive root. Others discuss the conditions under which the power rule can be applied and the importance of considering the domain of the variable involved.
  • Further questions arise regarding the treatment of expressions of the form \(x^{m/n}\) and the implications of even and odd values of \(m\) and \(n\) on the results.

Discussion Status

Participants are actively engaging with the original poster's questions, providing insights and clarifications regarding the definitions and properties of square roots and fractional exponents. There is a mix of interpretations being explored, particularly concerning the application of the power rule and the treatment of positive and negative roots. While some guidance has been offered, a consensus has not yet been reached.

Contextual Notes

The original poster expresses frustration with the limitations of the forum's LaTeX support, which may impact their ability to communicate mathematical ideas effectively. They also inquire about the possibility of posting scanned work instead of typed text, highlighting the challenges faced in articulating their questions.

Astro
Messages
48
Reaction score
1
Homework Statement
(Teaching myself and asking for help.)
Is 5^(2/2) positive, negative, or both?
Relevant Equations
a^(n/b)
(If I should have posted this in the Math thread instead of the Homework thread, please let me know.)

I have three questions which I will ask in sequence. They all relate to each other.

I've typed my questions and solutions attempts below.
I've also attached a hand-written version of this post (see bottom) since, to be honest, I much prefer scanning my work than typing it out (easier to format by hand and much faster to post).

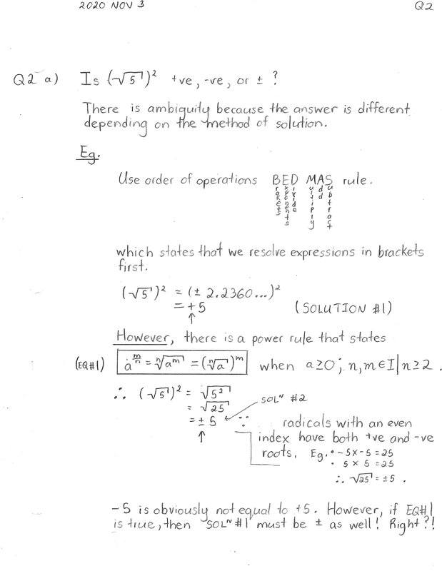
Q1) Is the ##(\sqrt 5)^2## +ve, -ve, or ±?

There is ambiguity because the answer is different depending on the method of solution. (Obviously I'm unaware of some important math rules.) The examples below illustrate the problem.​
EG.​
Use order of operations BED MAS rule​
(BED MAS: Brackets > Exponents > Division/Multiplication > Addition/Subtraction)​
which states that we resolve expressions within brackets first.​
SOLUTION #1:​
(√5)^2 = (± 2.2360...)^2 = +5​
(Note: Not sure how to get equal signs to align in Latex on separate lines. :-{ Tried the \begin{align} stuff but didn't work. The latex coding seems very buggy on this website :S )​
However, there is a power rule that states​
(EQUATION #1)​
## a^{m/n} = \sqrt[n] {a^m} = (\sqrt[n] a)^m##​
when a ≥ 0 ; n,m∈I|n≥2 .​
SOLUTION #2:​
∴ ## (\sqrt 5)^2 = \sqrt {5^2} = \sqrt {25} = \pm 5 ##​
since radicals with an even index have both +ve and -ve roots.​
EG. ● -5 X -5 = 25​
● 5 X 5 = 25​
∴ √ 25 = ±5​
-5 is obviously not equal to +5. However, if EQUATION#1 is true, then SOLUTION#1 must be ± as well! Right?!​
If true, that would mean that​
## (\sqrt 5)^2 = ±5 \neq (\pm 2.2360...)^2 ##​
Instead,​
(√5)^2 = ± (2.2360...)^2 = ±5​
Right?​
So that means that when n AND m are even, that when solving, a ± must be added, regardless of which order ## a^{m/n}## is resolved in. Right?​
So to reiterate, my question is: What is the mathematically correct way to solve a radical of intermediate form ## a^{m/n}## in this kind of case?​
Q2) Also, the decision of whether to add a ± must be made before simplifying the exponent. Right??

EG.​
## (\sqrt 5)^2 = (5^{1/2})^2##​
continued: ## = 5^{2/2}##​
continued: = ±5^1 (Notice how 2/2 reduced to 1.)​
Because if we simplified 1st then we'd get​
## 5^{2/2} = 5^1 = +5 ##​
VERSES 5^{2/2} = ±5​
EG 2.​
We know that ## \sqrt {25} = ± 5 ##​
But that's only true if ## \sqrt {25} = 25^{1/2} = (5^2)^{1/2} = 5^{2/2} = ±5^1 = ±5##​
Q3) In summary, for questions #1 and #2: What is the correct way of solving the types of cases mathematically? I realize that normally people only concern themselves with the principal root (ie. positive root) but the problem is that there's a lack of consistency if rules are haphazardly applied. I'm assuming that there are standardized rules that cover these types of scenarios but I can't seem to find any in textbooks or online. (When searching online, you get mostly elementary level explanations that focus mostly in the positive roots and mostly avoid tackling these special scenarios as I have exemplified. )Any help with these kinds of questions would be appreciated.------------------

In an unrelated question (Q4): Can I please please please just scan my work as images and post them? It is seriously awkward and way too time consuming to type it up all using half-working latex script. It makes me want to avoid this website (which otherwise is quite good). (Sadly, other free websites seem to want you to type to...grumble grumble. >_< ) Any suggestions for websites where you can ask questions by posting scanned written work instead of typing everything? Or at least, can you please include a fully operating user-friendly symbol math editor that I can use with this textbox? It took me over two hours to type this when I could have written it up in less than 15min. I did use your Latex guide (https://www.physicsforums.com/help/latexhelp/) for coding--but Latex here wasn't working well. (I.e. Really buggy or not working at all.) Even when some Latex worked, it then stopped working and I had to delete and retype before it worked again when previewing in Chrome web browser. And both times I typed the same code identically.

----------------------

EPSON360.JPG
EPSON361.JPG
 
Last edited:
Physics news on Phys.org
The first thing to understand is that for a real number ##a > 0##, ##\sqrt{a}## is defined to be the positive number ##b## such that ##b^2 = a##. For example, ##\sqrt{25} = 5 ## , not ##-5##.

Evaluating ##\sqrt{a}## is a different task that solving the equation ##x^2 = a##. An equation may have more than one solution. For example the equation ##x^2 = 25## has solution set ##\{-5,5\}##. That set of two solutions is sometimes abbreviated by writing ##"x = \pm 5"##.
 
Solution #1 is the only correct way to go about this. This is because when we simply right ##\sqrt{a}## we mean the positive square root of a, so in solution 2 in the last step where you equate ##\sqrt 25=\pm 5## this step is wrong, the correct is ##\sqrt 25=+5##.

The negative square root is written as ##-\sqrt 25##

Equation 1 holds when a is positive but you seem to apply it for a negative (a=-5 if i am not wrong) so you end up with wrong conclusions.

EDIT : IN solution 1 you don't have the right to add the ##\pm## for the reason explained in the first paragraph, though solution 1 is correct as a series of two equations.
 
Astro said:
Is 5^(2/2) positive, negative, or both?
It's positive
##(5)^{2/2} = 5^1 = 5##
Simple as that.

Astro said:
Q1) Is the ##(\sqrt 5)^2##+ve, -ve, or ±?
As already mentioned ##\sqrt 5## is the positive square root of 5.
Further, any real number squared will be greater than or equal to 0.
So ##(\sqrt 5)^2## is positive. It can't be negative. Since it is a single value, at can't be ##\pm##.

BTW, LaTeX is fairly straightforward to use, at least for most of the mathematical things that people usually use.

It looks like you have already made a good start at it. Take a look at our tutorial -- there's a link in the lower left corner of the text entry pane.
 
Thank you for all your replies. It's helped a bit I still have some confusion.

As mentioned, we know that for x ≥ 0 there is a power rule that states:

## x^{m/n} = \sqrt[n] {x^m} = (\sqrt[n] x)^m ## .​
Question #5a:

For ## (\sqrt[n] x)^m##, it seems that you can only move m inside the radical to form ## (\sqrt[n] {x^m})## if you already know that x ≥ 0. Correct?
Question #5b:

If #5a is true, then if n is even and m = n, does that mean that:​
## f(x) = \sqrt[n] {x^n} = |x| \text{ AND } f(x) = (\sqrt[n] x)^n = |x|## as long as x ≥ 0?​
In other words, does that mean that:​
## (\sqrt[n] {x^n}) = (\sqrt[n] x)^n=|x|= \begin{cases} +x \text{, if } x ≥ 0 \\ −x \text{, if } x < 0 \end{cases} ## ?​

Question #6a:

How do you resolve a power of the intermediate form ## f(x) = x^{n/n}## where x ≥ 0, n ≥ 2| n is even?
HYPOTHETICAL SOLTION #1:​
Is ## f(x) = x^{n/n} = x^1## ? (Do you always simply fractional exponents 1st?)

Because if you don't simply first, you could get either:​
HYPOTHETICAL SOLUTION #2:​
## f(x) = x^{n/n} = \sqrt[n] {x^n} = (\sqrt[n] x)^n = |x| = \pm x ##​
OR​
HYPOTHETICAL SOLUTION #3:​
## f(x) = x^{n/n} = (\sqrt[n] {|x|})^n = \begin{cases} (\sqrt[n] {+x})^n = \sqrt[n] {+x^n} = |x| \\ (\sqrt[n] {-x})^n = \sqrt[n] {(-x)^n} = |x| \end{cases}##​
So what is the correct answer? ##x^1 \text{ OR } |x|## ? (I think ##x^1## is correct. )​
Question #6b:

How do you resolve a power of the intermediate form f(x) = x^{m/n} where x ≥ 0, n ≥ 2 | n is even, and m > n | m is odd?​
(Notice: this means that m-n is odd.)​
Which is the correct solution:​
HYPOTHETICAL SOLUTION #1:​
● ##x^{m/n} = x^{n/n} ⋅ x^{\frac {m-n} {n}} = |x| ⋅ \sqrt[n] {|x^{m-n}|} = \pm x ⋅ \sqrt[n] {\pm x^{m-n}} ## ?​
OR​
HYPOTHETICAL SOLUTION #2:​
● ##x^{m/n} = x^{n/n} ⋅ x^{\frac {m-n} {n}} = x^1 ⋅ \sqrt[n] {|x^{m-n}|} = \pm x ⋅ \sqrt[n] {\pm x^{m-n}} ## ?​
HYPOTHETICAL SOLTTION #3:​
● ##x^{m/n} ## = undefined.​
(I think the SOLUTION #2 is correct where ##x^{n/n} \rightarrow x^1## .)​

Question #7: What is the correct solution to ## f(x) = x^{11/2}## where x ≥ 0?

Is the correct answer:

## x^{11/2} = x^{10/2} ⋅ x^{1/2} = x^5 \sqrt x = x^5 (\sqrt {|x|}) = \begin{cases} x^5 \sqrt {+x} \text{, if x ≥ 0} \\ x^5 \sqrt {-x} \text{, if x <0} \end{cases} ## ?​

Question #8:

How do do you solve ##(\sqrt[3] {x+2})^{4} + 2 = 18## ?​
It might seem simple but there is nuance.​
First let's isolate the radical to one side:​
##(\sqrt[3] {x+2})^4 + 2 = 18 \Leftrightarrow (\sqrt[3] {x+2})^4 = 16## .​
Then, let's express the radical in power form:​
##[(x+2)^{\frac 1 3}]^4 \Rightarrow (x+2)^{\frac 4 3} ## .​
Notice that the domain of the radical above is x ∈ ℝ since the index is odd.​
Let's continue solving for x:​
\begin{align} [(x+2)^{\frac 4 3}] & = 18 \nonumber \\ [(x+2)^{\frac 4 3}]^{\frac 3 4} & = 18^{\frac 3 4} \nonumber \\ x+2 & = \pm 2^3 \nonumber \\ x & = \pm 8 - 2 \nonumber \\ x = -10 \text{, } 6 \nonumber \end{align}​
NOTICE: ##[(x+2)^{\frac 4 3}]^{\frac 3 4} = 18^{\frac 3 4} ## ## (x+2)^1## !​
The correct math, I think, is: ##[(x+2)^{\frac 4 3}]^{\frac 3 4} = 18^{\frac 3 4} = \pm (x+2)^1##​
In other words, we must make the decision to add the ± sign when simplifying the power with the fractional exponent that has an even number in the denominator (i.e. before simplifying the fraction: ##(\frac 4 3)(\frac 3 4) \rightarrow 1## )! (Note: The even # in the denominator is in this case 4.)​
So, since this is true, then this implies that in Question #6a, the correct solution is actually:​
## f(x) = (x^{\frac 1 n})^n = \pm x^{n/n} = \pm x^1##​
and not​
## f(x) = x^{n/n} = x^1## .​
Right?​
This would also imply that in Question #6b, the correction solution is actually:​
##x^{m/n} = \pm x^{n/n} ⋅ x^{\frac {m-n} {n}} = \pm x^1 ⋅ \sqrt[n] {|x^{m-n}|} = \pm x ⋅ \sqrt[n] {\pm x^{m-n}} ##​
instead of​
##x^{m/n} = x^{n/n} ⋅ x^{\frac {m-n} {n}} = x^1 ⋅ \sqrt[n] {|x^{m-n}|} = \pm x ⋅ \sqrt[n] {\pm x^{m-n}} ## .​
Right?​
(Note: The difference is in the initial intermediary steps in this case.)​
This would also imply that for Question #7, the correct solution is actually:​
## x^{11/2} = x^{10/2} ⋅ x^{1/2} = \pm x^5 \sqrt x =\pm x^5 (\sqrt {|x|}) = \begin{cases} +x^5 \sqrt {+x} \text{, if x ≥ 0} \\ -x^5 \sqrt {-x} \text{, if x <0} \end{cases} ##​
instead of​
## x^{11/2} = x^{10/2} ⋅ x^{1/2} = x^5 \sqrt x = x^5 (\sqrt {|x|}) = \begin{cases} x^5 \sqrt {+x} \text{, if x ≥ 0} \\ x^5 \sqrt {-x} \text{, if x <0} \end{cases} ##​
Right?​
Resuming the solution to Question #8, we must check if those solutions for x are extraneous:​
● Check if LS=RS if x = -10:​
LS = ## (\sqrt[3] {x+2})^4 = (\sqrt[3] {-10+2})^4 = 16 ##​
RS = 16​
Since LS = RS, x = -10 is a valid solution.​

● Check if LS=RS if x = -10:​
LS = ## (\sqrt[3] {x+2})^4 = (\sqrt[3] {6+2})^4 = 16 ##​
RS = 16​
Since LS = RS, x = -10 is a valid solution.​
∴ x = -10, 6 are both valid solutions.​

Question #9:

In addition to answer my previous questions, if anybody knows, can you please provide a link to a webpage where these kinds of nuances and rules are clearly explained? Or if you don't know a link, can someone please state what the rules are in general? Because as you can see, especially when we get to Question #8, it can start getting really confusing. All the questions I asked above are my attempts to find and understand what those rules are. But I'm asking on this website because I'm not 100% sure that I'm correct and would benefit from more input from those more mathematically knowledgeable than I.​
I find that webpages and textbooks tend to avoid clarifying these kinds of nuanced cases so it gets very confusing when trying to figure out how to correctly do that math. (When I was in school, math teachers taught bits and pieces but never clarified how everything is supposed to work together in these kinds of nuanced cases.)​

Thank you.
 
Astro said:
Thank you for all your replies. It's helped a bit I still have some confusion.

As mentioned, we know that for x ≥ 0 there is a power rule that states:

## x^{m/n} = \sqrt[n] {x^m} = (\sqrt[n] x)^m ## .​
Question #5a:

For ## (\sqrt[n] x)^m##, it seems that you can only move m inside the radical to form ## (\sqrt[n] {x^m})## if you already know that x ≥ 0. Correct?
You have the "only" in the wrong place. You can move the exponent m into the radical only if x ≥ 0. Other than that, correct.
Astro said:
Question #5b:

If #5a is true, then if n is even and m = n, does that mean that:​

## f(x) = \sqrt[n] {x^n} = |x| \text{ AND } f(x) = (\sqrt[n] x)^n = |x|## as long as x ≥ 0?​

In other words, does that mean that:​

## (\sqrt[n] {x^n}) = (\sqrt[n] x)^n=|x|= \begin{cases} +x \text{, if } x ≥ 0 \\ −x \text{, if } x < 0 \end{cases} ## ?​
If x ≥ 0, ## (\sqrt[n] {x^n}) = x##. You don't need the absolute value. If x < 0, then ##\sqrt[n] x## might not even be real.
Astro said:
Question #6a:

How do you resolve a power of the intermediate form ## f(x) = x^{n/n}## where x ≥ 0, n ≥ 2| n is even?
HYPOTHETICAL SOLTION #1:​
Is ## f(x) = x^{n/n} = x^1## ? (Do you always simply fractional exponents 1st?)

Because if you don't simply first, you could get either:​

HYPOTHETICAL SOLUTION #2:​
## f(x) = x^{n/n} = \sqrt[n] {x^n} = (\sqrt[n] x)^n = |x| = \pm x ##​
OR​
HYPOTHETICAL SOLUTION #3:​
## f(x) = x^{n/n} = (\sqrt[n] {|x|})^n = \begin{cases} (\sqrt[n] {+x})^n = \sqrt[n] {+x^n} = |x| \\ (\sqrt[n] {-x})^n = \sqrt[n] {(-x)^n} = |x| \end{cases}##​
So what is the correct answer? ##x^1 \text{ OR } |x|## ? (I think ##x^1## is correct. )​
##x^{n/n} = x##, if x ≥ 0, but if x < 0, and if n is an even number, then ##\sqrt[n] x## isn't real.
Astro said:
Question #6b:

How do you resolve a power of the intermediate form f(x) = x^{m/n} where x ≥ 0, n ≥ 2 | n is even, and m > n | m is odd?​
(Notice: this means that m-n is odd.)​
Which is the correct solution:​
HYPOTHETICAL SOLUTION #1:​
● ##x^{m/n} = x^{n/n} ⋅ x^{\frac {m-n} {n}} = |x| ⋅ \sqrt[n] {|x^{m-n}|} = \pm x ⋅ \sqrt[n] {\pm x^{m-n}} ## ?​
OR​
HYPOTHETICAL SOLUTION #2:​
● ##x^{m/n} = x^{n/n} ⋅ x^{\frac {m-n} {n}} = x^1 ⋅ \sqrt[n] {|x^{m-n}|} = \pm x ⋅ \sqrt[n] {\pm x^{m-n}} ## ?​
HYPOTHETICAL SOLTTION #3:​
● ##x^{m/n} ## = undefined.​
(I think the SOLUTION #2 is correct where ##x^{n/n} \rightarrow x^1## .)​

Question #7: What is the correct solution to ## f(x) = x^{11/2}## where x ≥ 0?

Is the correct answer:

## x^{11/2} = x^{10/2} ⋅ x^{1/2} = x^5 \sqrt x = x^5 (\sqrt {|x|}) = \begin{cases} x^5 \sqrt {+x} \text{, if x ≥ 0} \\ x^5 \sqrt {-x} \text{, if x <0} \end{cases} ## ?​
You don't need the absolute value symbol, since x ≥ 0.
Astro said:
Question #8:

How do do you solve ##(\sqrt[3] {x+2})^{4} + 2 = 18## ?​
It might seem simple but there is nuance.​
First let's isolate the radical to one side:​
##(\sqrt[3] {x+2})^4 + 2 = 18 \Leftrightarrow (\sqrt[3] {x+2})^4 = 16## .​
Then, let's express the radical in power form:​
##[(x+2)^{\frac 1 3}]^4 \Rightarrow (x+2)^{\frac 4 3} ## .​
Notice that the domain of the radical above is x ∈ ℝ since the index is odd.​
Let's continue solving for x:​
\begin{align} [(x+2)^{\frac 4 3}] & = 18 \nonumber \\ [(x+2)^{\frac 4 3}]^{\frac 3 4} & = 18^{\frac 3 4} \nonumber \\ x+2 & = \pm 2^3 \nonumber \\ x & = \pm 8 - 2 \nonumber \\ x = -10 \text{, } 6 \nonumber \end{align}​
NOTICE: ##[(x+2)^{\frac 4 3}]^{\frac 3 4} = 18^{\frac 3 4} ## ## (x+2)^1## !​
The correct math, I think, is: ##[(x+2)^{\frac 4 3}]^{\frac 3 4} = 18^{\frac 3 4} = \pm (x+2)^1##​
In other words, we must make the decision to add the ± sign when simplifying the power with the fractional exponent that has an even number in the denominator (i.e. before simplifying the fraction: ##(\frac 4 3)(\frac 3 4) \rightarrow 1## )! (Note: The even # in the denominator is in this case 4.)​
So, since this is true, then this implies that in Question #6a, the correct solution is actually:​
## f(x) = (x^{\frac 1 n})^n = \pm x^{n/n} = \pm x^1##​
and not​
## f(x) = x^{n/n} = x^1## .​
Right?​
This would also imply that in Question #6b, the correction solution is actually:​
##x^{m/n} = \pm x^{n/n} ⋅ x^{\frac {m-n} {n}} = \pm x^1 ⋅ \sqrt[n] {|x^{m-n}|} = \pm x ⋅ \sqrt[n] {\pm x^{m-n}} ##​
instead of​
##x^{m/n} = x^{n/n} ⋅ x^{\frac {m-n} {n}} = x^1 ⋅ \sqrt[n] {|x^{m-n}|} = \pm x ⋅ \sqrt[n] {\pm x^{m-n}} ## .​
Right?​
(Note: The difference is in the initial intermediary steps in this case.)​
This would also imply that for Question #7, the correct solution is actually:​
## x^{11/2} = x^{10/2} ⋅ x^{1/2} = \pm x^5 \sqrt x =\pm x^5 (\sqrt {|x|}) = \begin{cases} +x^5 \sqrt {+x} \text{, if x ≥ 0} \\ -x^5 \sqrt {-x} \text{, if x <0} \end{cases} ##​
instead of​
## x^{11/2} = x^{10/2} ⋅ x^{1/2} = x^5 \sqrt x = x^5 (\sqrt {|x|}) = \begin{cases} x^5 \sqrt {+x} \text{, if x ≥ 0} \\ x^5 \sqrt {-x} \text{, if x <0} \end{cases} ##​
Right?​
Resuming the solution to Question #8, we must check if those solutions for x are extraneous:​
● Check if LS=RS if x = -10:​
LS = ## (\sqrt[3] {x+2})^4 = (\sqrt[3] {-10+2})^4 = 16 ##​
RS = 16​
Since LS = RS, x = -10 is a valid solution.​
I have to quit here, as I have something else going on. It would be better for you to constrain your posts to at most two questions, rather than a whole laundry list of your concerns.
Astro said:
● Check if LS=RS if x = -10:​
LS = ## (\sqrt[3] {x+2})^4 = (\sqrt[3] {6+2})^4 = 16 ##​
RS = 16​
Since LS = RS, x = -10 is a valid solution.​
∴ x = -10, 6 are both valid solutions.​

Question #9:

In addition to answer my previous questions, if anybody knows, can you please provide a link to a webpage where these kinds of nuances and rules are clearly explained? Or if you don't know a link, can someone please state what the rules are in general? Because as you can see, especially when we get to Question #8, it can start getting really confusing. All the questions I asked above are my attempts to find and understand what those rules are. But I'm asking on this website because I'm not 100% sure that I'm correct and would benefit from more input from those more mathematically knowledgeable than I.​
I find that webpages and textbooks tend to avoid clarifying these kinds of nuanced cases so it gets very confusing when trying to figure out how to correctly do that math. (When I was in school, math teachers taught bits and pieces but never clarified how everything is supposed to work together in these kinds of nuanced cases.)​

Thank you.
 
Last edited:
Astro said:
Question #5a:

For ## (\sqrt[n] x)^m##, it seems that you can only move m inside the radical to form ## (\sqrt[n] {x^m})## if you already know that x ≥ 0. Correct?
Yes. The condition ##x \ge 0 ## is important for many "laws" of exponents. When we are working only in the real number systems ##\sqrt[n]{x}## is only defined for ##x \ge 0##. There are textbooks that expect students to do evaluations like ##\sqrt[3]{-1} = -1 ##. However, this leads to contradictions like:
##-1 = \sqrt[3]{-1} = (-1)^{1/3} = (-1)^{2/6} = \sqrt[6]{(-1)^2} = \sqrt[6]{1} = 1## if the student applies laws of fractional exponents expecting them to work for negative numbers raised to powers.

For positive integers ##m,n##, many (USA) secondary school algebra texts define ##x ^{m/n}## to mean "The ##n##th root of ##x^m## when that root exists " and they expect students to apply this definition in cases where ##x < 0##. However, this definition fails to define a unique value for ##x^f## where ##f## is fractional value because the same fraction value ##f## can be expressed in different ways (.e.g. ##1/3 = 2/6##).

Applying rules that deal with fractional exponents is unreliable if ##x < 0## because the definition that ##x^{m/n} = \sqrt[n]{x^m}## does not define how to evaluate a fractional exponent using the value of the fraction, it only defines how to evaluate a fractional exponent using one particular way of writing that value.
Question #5b:

If #5a is true, then if n is even and m = n, does that mean that:​
## f(x) = \sqrt[n] {x^n} = |x| \text{ AND } f(x) = (\sqrt[n] x)^n = |x|## as long as x ≥ 0?​
Yes. However, if ##x \ge 0## then ##|x| = x##, so there's no need to write "##|x|##".​
In other words, does that mean that:​
## (\sqrt[n] {x^n}) = (\sqrt[n] x)^n=|x|= \begin{cases} +x \text{, if } x ≥ 0 \\ −x \text{, if } x < 0 \end{cases} ## ?​

No. Try ## x = -1, n = 3 ## If you want to use the USA textbook definition that ##\sqrt[3]{(-1)^3} = \sqrt[3]{-1} = -1 ##, the conclusion ""##-x## if ##x < 0##" is incorrect.Question #6a:
How do you resolve a power of the intermediate form ## f(x) = x^{n/n}## where x ≥ 0, n ≥ 2| n is even?
HYPOTHETICAL SOLTION #1:​
Is ## f(x) = x^{n/n} = x^1## ? (Do you always simply fractional exponents 1st?)

Because if you don't simply first, you could get either:​
HYPOTHETICAL SOLUTION #2:​
## f(x) = x^{n/n} = \sqrt[n] {x^n} = (\sqrt[n] x)^n = |x| = \pm x​

Writing "##|x| = \pm x##" is ambiguous notation. One interpretation is "##x## and ##-x##" are each solutions. Another interpretation is that "either ##x## is a solution or ##-x## is a solution but only one of ##x## and ##-x## is a solution".

As indicated above if ##x < 0## then theorems dealing with how to manipulate fractional exponents don't apply. So your hypothetical solution only applies when ##x \ge 0##. Hence there is no need to write ##|x|##.
 
Last edited:
Stephen Tashi said:
Writing "|x|=±x" is ambiguous notation.
I'd go further, and say it's just wrong.
|x| = x, if ##x \ge 0##, and is equal to - x, if x < 0.
 
Astro said:
How do do you solve
##\sqrt[3]{(x+2)}^4 + 2=18## ?
Astro said:
##(x+2)^{4/3}=18##
You've omitted the 2 that used to be on the left side.
The correct equation is ##(x+2)^{4/3}=16##, which has solutions x = 6 or x = -10, which are the solutions you showed.

Taking the n-th root of both sides isn't generally the way to solve equations. For a simple example, consider ##x^2 = 4##. The naive approach would be to take the square root of both sides, yielding ##x = 2##.
A better approach that yields both solutions is to write the equation as ##x^2 - 4 = 0##, and either factor the expression on the left or use the Quadratic Formula. Factoring results in ##(x - 2)(x + 2) = 0##, from which we can see that ##x = \pm 2##.
 
  • #10
Astro said:
In addition to answer my previous questions, if anybody knows, can you please provide a link to a webpage where these kinds of nuances and rules are clearly explained? Or if you don't know a link, can someone please state what the rules are in general?
The best advice I have is to look up precise definitions. A good math textbook should provide them. Note that you do need to pay attention to the details.

For example, one source I consulted defined ##x^{m/n}## as ##\sqrt[n]{x^m}##. It is not ##(\sqrt[n] x)^m##.

If ##x>0##, then ##x^{n/n} = \sqrt[n]{x^n} = x## for any positive integer ##n##.

If ##x<0##, however, ##x^{n/n} = \sqrt[n]{x^n} = |x| = -x## for even ##n##. For odd ##n##, you'd have ##x^n < 0##, so the principal ##n##-th root of ##x^n## would also be negative. Hence, ##x^{n/n} = x## for odd ##n##.

Note that the definition renders some of your questions moot. The definition unambiguously tells us what ##x^{m/n}## means. In particular, it doesn't mean ##(\sqrt[n] x)^m##, and you must not assume that ##(\sqrt[n] x)^m## will always give you the "right" answer.

You might want to claim that ##x^{n/n}## should always equal ##x## because ##n/n = 1##, but you're again making an unwarranted assumption, namely that it's always valid to simplify the exponent before doing the exponentiation.

I find that webpages and textbooks tend to avoid clarifying these kinds of nuanced cases so it gets very confusing when trying to figure out how to correctly do that math. (When I was in school, math teachers taught bits and pieces but never clarified how everything is supposed to work together in these kinds of nuanced cases.
It's not surprising web pages don't provide precise definitions, but a good math textbook should.

How do do you solve ##(\sqrt[3] {x+2})^{4} + 2 = 18##?
It's useful to note that ##\sqrt[n]{x^n} = \lvert x \rvert## when ##n## is even for all ##x##.
\begin{align*}
(\sqrt[3] {x+2})^{4} + 2 &= 18 \\
(\sqrt[3] {x+2})^{4} &= 16 \\
[(\sqrt[3] {x+2})^{4}]^{1/4} &= 16^{1/4} \\
\lvert \sqrt[3] {x+2} \rvert &= 2 \\
\sqrt[3] {x+2} &= \pm 2 \\
x+2 &= \pm 8 \\
x = 6 &\text{ or } x=-10
\end{align*}
In your attempt, when you used ##(\sqrt[3] {x+2})^{4} = (x+2)^{4/3}##, you implicitly assumed ##x+2 > 0##. That's why you had to introduce minus signs in a seemingly arbitrary manner to get the second solution.
 
  • #11
Thank you for your most insightful reply. I enjoyed reading it. Really helped quite a bit.

When you say that:
Stephen Tashi said:
For positive integers ##m,n##, many (USA) secondary school algebra texts define ##x ^{m/n}## to mean "The ##n##th root of ##x^m## when that root exists " and they expect students to apply this definition in cases where ##x < 0##.

Based on your reply, it seems there isn't a standard world-wide accepted interpretation of ##x ^{\frac m n}## for x ∈ ℝ . (Note: I do appreciate you explaining how most secondary schools in the USA interpret it--I wasn't aware of that. Good to know.)

QUESTION: Beyond just the USA, for x ∈ ℝ, would most mathematicians interpret ##x ^{\frac m n}## to equal ##\sqrt[n] {x^m}## instead of ##(\sqrt[n] x)^m## ?

Stephen Tashi said:
Writing "##|x| = \pm x##" is ambiguous notation. One interpretation is "##x## and ##-x##" are each solutions. Another interpretation is that "either ##x## is a solution or ##-x## is a solution but only one of ##x## and ##-x## is a solution".

In school, I was taught that ± means plus OR minus--not necessarily both. It seems that's another thing that isn't completely standardized in math.
 
  • #12
Mark44 said:
You've omitted the 2 that used to be on the left side.
The correct equation is ##(x+2)^{4/3}=16##, which has solutions x = 6 or x = -10, which are the solutions you showed.

Taking the n-th root of both sides isn't generally the way to solve equations. For a simple example, consider ##x^2 = 4##. The naive approach would be to take the square root of both sides, yielding ##x = 2##.
A better approach that yields both solutions is to write the equation as ##x^2 - 4 = 0##, and either factor the expression on the left or use the Quadratic Formula. Factoring results in ##(x - 2)(x + 2) = 0##, from which we can see that ##x = \pm 2##.

I like your example of solving ##x^2 = 4## by factoring to ##(x - 2)(x + 2) = 0## .

However, how would you apply that approach to a question like ##(x+2)^{\frac 4 3}=16##?
I don't know how to factor something like that.

\begin{align}
(\sqrt[3] {x+2})^4 & = 16 \nonumber \\
(x+2)^{\frac 4 3} & = 2^4 \nonumber \\
0 & = (x+2)^{\frac 4 3} - 2^4 \nonumber \\
0 & = \text{ ? } \nonumber
\end{align}
If I try, I get weird stuff like this that doesn't seem to be progress:
\begin{align}
0 & = [(x+2)^{\frac 2 3} - 2^2][(x+2)^{\frac 2 3} +2^2] \nonumber \\
0 & = \text{ ? } \nonumber
\end{align}
You're still left with the same problem where you have to get rid of the exponent instead of directly solving by factoring.
 
  • Like
Likes   Reactions: Delta2
  • #13
Astro said:
I like your example of solving ##x^2 = 4## by factoring to ##(x - 2)(x + 2) = 0## .

However, how would you apply that approach to a question like ##(x+2)^{\frac 4 3}=16##?
In a different form, we have ##\sqrt[3]{(x + 2)^4} = 16 \Rightarrow (x + 2)^4 = 16^3##
So x + 2 could either be positive or negative.
Which means that ##x + 2 = \pm 16^{3/4} = \pm 8 \Rightarrow x = -2 \pm 8##
Solutions are x = 6 or x = -10.
 
  • #14
Astro said:
QUESTION: Beyond just the USA, for x ∈ ℝ, would most mathematicians interpret ##x ^{\frac m n}## to equal ##\sqrt[n] {x^m}## instead of ##(\sqrt[n] x)^m## ?

Mathematicians who think rigorously about exponents think about them in the context of the exponential function https://en.wikipedia.org/wiki/Exponential_function . The case when the exponent is a rational number is a special case of that situation.

As to how mathematicians think about mathematics in the context of secondary school algebra, I don't know how fractional exponents are taught in countries other than the USA.

In school, I was taught that ± means plus OR minus--not necessarily both.

Yes, "or" does not necessarily include the case when two statements (joined by "or) are simultaneously true, but it also doesn't exclude that possibility. So using "or" makes it ambiguous whether both statements are simultaneously true.
 

Similar threads

  • · Replies 6 ·
Replies
6
Views
2K
Replies
2
Views
2K
  • · Replies 10 ·
Replies
10
Views
3K
  • · Replies 8 ·
Replies
8
Views
2K
  • · Replies 13 ·
Replies
13
Views
2K
Replies
10
Views
2K
Replies
1
Views
2K
  • · Replies 7 ·
Replies
7
Views
2K
  • · Replies 1 ·
Replies
1
Views
2K
Replies
7
Views
2K