How Is Curvature Calculated Using Vector Functions?

  • Thread starter Thread starter chetzread
  • Start date Start date
  • Tags Tags
    Curvature Formula
Click For Summary
SUMMARY

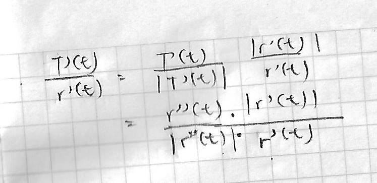
The discussion focuses on the calculation of curvature using vector functions, specifically transforming the formula from T'(t) / r'(t) to | r'(t) x r"(t) | / | (r'(t))^3 |. The participants seek clarity on the mathematical derivation and application of these formulas. The conversation highlights the importance of understanding vector calculus in relation to curvature, emphasizing the cross product and derivatives of vector functions.

PREREQUISITES
  • Understanding of vector calculus
  • Familiarity with vector functions and their derivatives
  • Knowledge of curvature concepts in differential geometry
  • Proficiency in using cross products in three-dimensional space
NEXT STEPS
  • Study the derivation of curvature formulas in vector calculus
  • Learn about the application of the cross product in curvature calculations
  • Explore differential geometry concepts related to curves
  • Practice problems involving vector functions and their derivatives
USEFUL FOR

Students studying calculus, mathematicians focusing on differential geometry, and anyone interested in the mathematical principles behind curvature in vector functions.

chetzread
Messages
798
Reaction score
1

Homework Statement



can someone explain how to turn the formula of curvature T'(t) / r'(t) into | r'(t) x r"(t) | / | (r't)^3 | ?

Homework Equations

The Attempt at a Solution


my working is in 317.jpgT'(t) / r'(t) <blockquote class="imgur-embed-pub" lang="en" data-id="a/q3t1U"><a href="//imgur.com/q3t1U"></a></blockquote><script async src="//s.imgur.com/min/embed.js" charset="utf-8"></script>

[PLAIN]http://imgur.com/a/q3t1U[/B]
 

Attachments

  • 316.jpg
    316.jpg
    63.8 KB · Views: 1,404
  • 317.jpg
    317.jpg
    30.5 KB · Views: 424
Last edited by a moderator:
Physics news on Phys.org
@chetzread -- Please post this in your other thread. Thank you.
 

Similar threads

  • · Replies 2 ·
Replies
2
Views
2K
Replies
2
Views
2K
  • · Replies 15 ·
Replies
15
Views
5K
  • · Replies 2 ·
Replies
2
Views
2K
  • · Replies 1 ·
Replies
1
Views
7K