Unit tangent vector vs principal normal vector

Click For Summary

Homework Help Overview

The discussion revolves around the definitions and properties of the unit tangent vector and the principal normal vector in vector calculus, particularly in the context of motion in space. Participants are exploring the mathematical relationships and definitions associated with these vectors.

Discussion Character

  • Conceptual clarification, Mathematical reasoning, Assumption checking

Approaches and Questions Raised

  • Participants are questioning the definition of the principal normal vector and its relationship to the tangent vector. There are discussions about the implications of perpendicularity between vectors and the mathematical operations involving vectors, such as division and dot products.

Discussion Status

The discussion is active, with participants providing insights and raising questions about the definitions and properties of the vectors involved. Some participants are attempting to clarify concepts, while others are exploring the implications of the mathematical relationships presented.

Contextual Notes

There are indications of confusion regarding the terminology used, such as the distinction between gradient and tangent, and the mathematical operations involving vectors. Participants are also grappling with the implications of certain properties, such as the normalization of vectors and their dot products.

chetzread
Messages
798
Reaction score
1

Homework Statement


http://mathwiki.ucdavis.edu/Core/Ca.../The_Unit_Tangent_and_the_Unit_Normal_Vectors
In the link, I can't understand that why the Principal Unit Normal Vector is defined by N(t) = T'(t) / | T'(t) | ,can someone explain...

Homework Equations

The Attempt at a Solution


Since tangent vector is normal to principal normal vector, why the N(t) shouldn't be -1 / ( T'(t) / | T'(t) | ) , since we know that if two vectors ( A and B) are prependicular to each other, then A multiply by B will get -1,
so, N(t) shouldn't be -1 / ( T'(t) / | T'(t) | ),
am i right? why we must differentiate it?
 
Physics news on Phys.org
How do you divide the number -1 by a vector ? Write it out as vectors and perhaps it will become clearer then...

Oh, and two vectors are perpendicular if their (inner) product is zero.

Two lines in the x,y plane may be perpendicular if the product of their slopes is -1, but that's something else ...
 
  • Like
Likes   Reactions: chetzread
BvU said:
How do you divide the number -1 by a vector ? Write it out as vectors and perhaps it will become clearer then...

Oh, and two vectors are perpendicular if their (inner) product is zero.

Two lines in the x,y plane may be perpendicular if the product of their slopes is -1, but that's something else ...
here's my idea
i mean when we find dy/dx = gradient of tangent , gradient of tangent x gradient of normal = -1 , am i right ?
https://revisionmaths.com/advanced-l...ts-and-normals
 
For a line ##y_1 = a+bx## and a line ##y_2= c + dx## then ##bd = -1 \Rightarrow ## lines are perpendicular.
##\displaystyle {dy\over dx} ## is the tangent of the slope. Not the gradient of the tangent.

Numerical example: ##y_1 = x## and ##y_2 = -x## bd = -1 so perpendicular.

Otherwise: In the x,y plane doing analytical geometry, yes.But a vector is something else -- even in the x,y plane !

Vector ##\vec v_1 = (a,b) ## and ##\vec v_2 = (c,d) ## then $$\vec v_1 \perp \vec v_2 \ \ \Leftrightarrow \ \ \vec v_1 \cdot \vec v_2 = ac + bd = 0 $$.

Numerical example: ##(1,1)## and ##(1,-1)##
 
  • Like
Likes   Reactions: chetzread
BvU said:
For a line ##y_1 = a+bx## and a line ##y_2= c + dx## then ##bd = -1 \Rightarrow ## lines are perpendicular.
##\displaystyle {dy\over dx} ## is the tangent of the slope. Not the gradient of the tangent.Numerical example: ##y_1 = x## and ##y_2 = -x## bd = -1 so perpendicular.
Otherwise: In the x,y plane doing analytical geometry, yes.

But a vector is something else -- even in the
x,y plane !

Vector ##\vec v_1 = (a,b) ## and ##\vec v_2 = (c,d) ## then $$\vec v_1 \perp \vec v_2 \ \ \Leftrightarrow \ \ \vec v_1 \cdot \vec v_2 = ac + bd = 0 $$.

Numerical example: ##(1,1)## and ##(1,-1)##
So, N(t) is gradient of tangent which us different from gradient of slope in the previous case? So, -1 / (dy/dx) can't be used here?
 
More mission work required. All caps is shouting in PF, not allowed.

Loudly:
not gradient. Don't confuse! Gradient has a different meaning (namely: spatial derivative of a scalar quantity. A gradient is a vector, because you can have different derivatives for any of the n dimensions).​

##\vec N(t)## is the normalized time derivative of ##\vec T##.

Indeed a different beast altogeher. We can make a link (of course -- why try to keep things simple -- but let's do that later).
 
  • Like
Likes   Reactions: chetzread
Hehe, when I read my own post I must concede that gradient = tangent of slope in x,y plane in the 1D case y = f(x) . (So still no gradient of tangent ! ) Why ? Well, in the 1D case there's no genuine difference between a vector and a scalar, I think (euphemism for feeling on thin ice...).

Back to the main thread ! Since T is normalized, it doesn't change in size very much. All that can change is its direction -- and that happens in a direction perpendicular to the thing itself.

(I'm giving it away a little bit; sheer excitement. ) FIrst things first: clear so far ?
 
  • Like
Likes   Reactions: chetzread
Now, once converted and convinced: welcome to the wonderful world of vector calculus :rolleyes: .

As we should agree by now, the ##\vec N## definition is sound if we can underpin it with two properties: ##\|\vec N\| = 1 ## and ##\vec N\cdot\vec T = 0 ## .

First one is easy, right ? Can you write it out ? And the second one ?
 
BvU said:
Now, once converted and convinced: welcome to the wonderful world of vector calculus :rolleyes: .

As we should agree by now, the ##\vec N## definition is sound if we can underpin it with
two properties: ##\|\vec N\| = 1 ## and ##\vec N\cdot\vec T = 0 ## .

First one is easy, right ? Can you write it out ?
And the second one ?
What do you want me to write? I am confused...
 
  • #10
Well, I simply want you to write out ##\|\vec N\|## in such a way that it shows that the value is 1 :smile:
 
  • Like
Likes   Reactions: chetzread
  • #11
BvU said:
Well, I simply want you to write out ##\|\vec N\|## in such a way that it shows that the value is 1 :smile:
sorry , why it will equal to 1 ? I really have no idea...
 
  • #12
$$\|\vec N\|\ \equiv \sqrt {\vec N\cdot\vec N}$$ $$ {\vec N\cdot\vec N} = { \vec T' \over \|\vec T'\|} \cdot { \vec T' \over \|\vec T'\|} = { \vec T' \cdot \vec T'\over \|\vec T' \|^2 } ={ \|\vec T' \|^2 \over \|\vec T' \|^2 } = 1$$
 
  • Like
Likes   Reactions: chetzread
  • #13
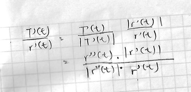
Can someone explain how to turn the formula of curvature T'(t) / r'(t) into | r'(t) x r"(t) | / | (r't)^3 | ?

my working is in 317.jpg
 

Attachments

  • 316.jpg
    316.jpg
    64 KB · Views: 8,649
  • 317.jpg
    317.jpg
    30.5 KB · Views: 678
  • #14
BvU said:
$$\|\vec N\|\ \equiv \sqrt {\vec N\cdot\vec N}$$ $$ {\vec N\cdot\vec N} = { \vec T' \over \|\vec T'\|} \cdot { \vec T' \over \|\vec T'\|} = { \vec T' \cdot \vec T'\over \|\vec T' \|^2 } ={ \|\vec T' \|^2 \over \|\vec T' \|^2 } = 1$$
is T' . T' = || T' ^2 || ?
|| T' ^2 || shows the magnitude , right ? and T' . T' only shows the product of dot product , why they are equal ?
 
  • #15
Later. I would like to know if my last post is clear to you -- and why you didn't have any idea what I meant ...

Then we go on with showing that ##\vec N\cdot\vec T=0##.

And then we move on to curvature...
 
  • Like
Likes   Reactions: chetzread
  • #16
BvU said:
Later. I would like to know if my last post is clear to you -- and why you didn't have any idea what I meant ...

Then we go on with showing that ##\vec N\cdot\vec T=0##.

And then we move on to curvature...
do you mean post#12 ?
i just don't understand why
T' . T' = || T' ^2 || ?
|| T' ^2 || shows the magnitude , right ? and T' . T' only shows the product of dot product , why they are equal ?
 
  • #17
chetzread said:
is T' . T' = || T' ^2 || ?
|| T' ^2 || shows the magnitude , right ? and T' . T' only shows the product of dot product , why they are equal ?
No. ##\ \ \vec T'\cdot\vec T' ## is usually written as ##\vec T^2##. It is a scalar (a number). So $$
\vec T'\cdot\vec T' = \|\vec T'\|^2 $$ the square of te norm.

Remember Pythagoras, remember what a vector dot product is, try a few numerical examples (the norm of ##(3,4)## for example).
 
  • Like
Likes   Reactions: chetzread
  • #18
BvU said:
No. ##\ \ \vec T'\cdot\vec T' ## is usually written as ##\vec T^2##. It is a scalar (a number). So $$
\vec T'\cdot\vec T' = \|\vec T'\|^2 $$ the square of te norm.

Remember Pythagoras, remember what a vector dot product is, try a few numerical examples (the norm of ##(3,4)## for example).
following the same trend as | N | , i gt |T | as 1 , here's my working , how could N dot T = 0 ?
i gt 1 dot 1 = 1
 

Attachments

  • 31.jpg
    31.jpg
    21.6 KB · Views: 726
  • #19
chetzread said:
i gt 1 dot 1 = 1
No, that's for the magnitudes. and an inner product is ##|\vec a \cdot\vec b|=|\vec a||\vec b|\cos\alpha## and ##\alpha = \pi/2## makes ##|\vec a \cdot\vec b|=0## .

A hint escaped me in post #7. Don't mind giving away the trick, if you solemnly promise never to forget :smile:.

Taraaaaa:

Of what is ##\vec N\cdot \vec T## the time derivative ?​
 
  • Like
Likes   Reactions: chetzread
  • #20
BvU said:
No, that's for the magnitudes. and an inner product is ##|\vec a \cdot\vec b|=|\vec a||\vec b|\cos\alpha## and ##\alpha = \pi/2## makes ##|\vec a \cdot\vec b|=0## .

A hint escaped me in post #7. Don't mind giving away the trick, if you solemnly promise never to forget :smile:.

Taraaaaa:

Of what is ##\vec N\cdot \vec T## the time derivative ?​
to be honest , i don't understand the question
Of what is ##\vec N\cdot \vec T## the time derivative ?
I am not a native English speaker . do you mean what is the derivative of N.T with respect to t(time) ?
 
  • #21
chetzread said:
I am not a native English speaker .
Neither am I.
do you mean what is the derivative of N.T with respect to t(time) ?
No, the opposite: (*) ##
\vec N\cdot \vec T## is the time derivative of something. If ##
\vec N\cdot \vec T = 0 ##, then that something ought to be a constant. If we turn that around we are in business.

( (*) In fact we are going to show that the numerator in the expression for ##\ \vec N\cdot \vec T \ ## is 0).

Cryptic, eh ? Don't mind showing (but you have to promise solemnly first :smile:).
 
  • #22
BvU said:
Neither am I.
No, the opposite: (*) ##
\vec N\cdot \vec T## is the time derivative of something. If ##
\vec N\cdot \vec T = 0 ##, then that something ought to be a constant. If we turn that around we are in business.

( (*) In fact we are going to show that the numerator in the expression for ##\ \vec N\cdot \vec T \ ## is 0).

Cryptic, eh ? Don't mind showing (but you have to promise solemnly first :smile:).
ok, can you show it please?
 
  • #23
The time derivative of ##\ \vec T^2## is ?
 
  • Like
Likes   Reactions: chetzread
  • #24
BvU said:
The time derivative of ##\ \vec T^2## is ?
it's 2##\ \vec T##dt , where t =time
 
  • #25
Almost :nb) : the chain rule is ## (f^2)' = 2 f f' ## -- by the way: a time derivative is a ##{d\over dt}##, a differential quotient, so you can't end up with a differential (like your dt at the end)...
 
Last edited:
  • #26
No
upload_2016-7-26_12-44-54.jpeg
yet ?
 
  • #27
BvU said:
Almost :nb) : the chain rule is ## (f^2)' = 2 f f' ## -- by the way: a time derivative is a ##{d\over dt}##, a differential quotient, so you can't end up with a differential (like your dt at the end)...
so , it's 2TT' ?
 
  • #28
Yes ! Recognize the numerator of ##\ \vec N\cdot \vec T \ ## ?
 
  • #29
BvU said:
Yes ! Recognize the numerator of ##\ \vec N\cdot \vec T \ ## ?
numerator ? what do you mean ? why did you ask me to differntiate ##\ vec T^2 \ ## with t (time) ?
 
  • #30
BvU said:
Yes ! Recognize the numerator of ##\ \vec N\cdot \vec T \ ## ?
do you mean ##\ vec N\cdot \vec T \## = 0 ? but , I am shown that N = 1 , i am still not convinced that N.T = 0 ...
 

Similar threads

  • · Replies 5 ·
Replies
5
Views
2K
  • · Replies 4 ·
Replies
4
Views
2K
  • · Replies 2 ·
Replies
2
Views
4K
  • · Replies 3 ·
Replies
3
Views
2K
  • · Replies 3 ·
Replies
3
Views
2K
  • · Replies 3 ·
Replies
3
Views
5K
  • · Replies 7 ·
Replies
7
Views
2K
Replies
9
Views
7K
  • · Replies 24 ·
Replies
24
Views
5K
  • · Replies 6 ·
Replies
6
Views
2K