How Is the Fourier Series Derived for Odd and Even Functions?

Click For Summary

Discussion Overview

The discussion revolves around the derivation of the Fourier series for odd and even functions. Participants are exploring the mathematical steps involved in this derivation, particularly focusing on the integrals of odd and even functions with trigonometric components.

Discussion Character

  • Technical explanation
  • Mathematical reasoning
  • Debate/contested

Main Points Raised

  • One participant expresses confusion about the derivation of the Fourier series for odd functions and requests clarification on the equivalent for even functions.
  • Another participant suggests checking the integral of f(x)cos(nx) and notes that the integral will be zero for odd functions.
  • A participant questions the implications of cos(-n*pi) = cos(n*pi) and attempts to understand how this affects the integration limits.
  • There are discussions about using integration by parts to derive the necessary integrals, with some participants sharing their attempts and results.
  • One participant mentions that they found the integral for even functions to be zero and for odd functions to yield a specific expression involving f'(pi).
  • Another participant proposes a series of steps to break down the integral into manageable parts, suggesting substitutions and manipulations to simplify the process.

Areas of Agreement / Disagreement

Participants generally agree on the need to explore the integrals of odd and even functions, but there are multiple competing views on the specific steps and outcomes of the derivation. The discussion remains unresolved as participants continue to seek clarity and share differing approaches.

Contextual Notes

Some participants express uncertainty about their mathematical manipulations and results, indicating potential limitations in their understanding of the integration techniques and properties of odd and even functions.

jac7
Messages
20
Reaction score
0
I am so stuck on my revision and i really need someones help!

I am using the definition of Fourier series as
f3.jpg


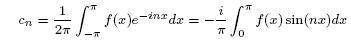
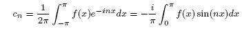
My lecturer has told us that
f4.jpg
if f is odd.

Could someone please tell me how he has derived this because i can't understand how he's got to it, iv tried using trig identities and i just can't get it!

and could someone also tell me what the equivalent is when f is even?

Thanks!
 
Mathematics news on Phys.org
jac7 said:
I am so stuck on my revision and i really need someones help!

I am using the definition of Fourier series as View attachment 34807

My lecturer has told us that View attachment 34808 if f is odd.

Could someone please tell me how he has derived this because i can't understand how he's got to it, iv tried using trig identities and i just can't get it!

and could someone also tell me what the equivalent is when f is even?

Thanks!

Hey there jac7 and welcome to the forums.

Consider when you do integral of f(x)cos(nx). Since cos(-n*pi) = cos(n*pi), what effect will have that on your integral?

You should check on paper using integration by parts what happens when f(x) is odd, and that way you will prove that your integral for the cos(nx) part is zero.

If you have any more questions, show me your working out so I can help you.
 
chiro said:
Hey there jac7 and welcome to the forums.

Consider when you do integral of f(x)cos(nx). Since cos(-n*pi) = cos(n*pi), what effect will have that on your integral?

You should check on paper using integration by parts what happens when f(x) is odd, and that way you will prove that your integral for the cos(nx) part is zero.

If you have any more questions, show me your working out so I can help you.

Thankyou for replying to my question!

If cos(-n*pi) = cos(n*pi) does that just mean that the integral becomes 0 to pi because -pi=pi?

I'm not quite sure what you mean by using this though because if i integrate cos(nx) it becomes -sin(nx)/n and then this doesn't apply anymore because sin(-n*pi)=-sin(n*pi).

Im sorry if I'm missing something really obvious, I've been trying different things for this so long now that I'm just so confused!
 
jac7 said:
Thankyou for replying to my question!

If cos(-n*pi) = cos(n*pi) does that just mean that the integral becomes 0 to pi because -pi=pi?

I'm not quite sure what you mean by using this though because if i integrate cos(nx) it becomes -sin(nx)/n and then this doesn't apply anymore because sin(-n*pi)=-sin(n*pi).

Im sorry if I'm missing something really obvious, I've been trying different things for this so long now that I'm just so confused!

The best thing to do is to actually work out the integral of f(x)cos(nx) with limits of -pi to pi. You can use the fact that cos(n*pi) = cos(n*-pi). Again do it by parts so that after a few applications by parts you get a term on the RHS which you can move to the LHS so that you get an explicit expression of the integral.

When you integrate you're cos(nx) you'll get a 1/n sin(nx) which will be zero (since sin(n*pi) = 0 for any integer n). Once you get your integral with cos(nx) terms, use your knowledge of odd functions to show that the integral is zero and you're done.

It will help if you try and do it by parts so I can help you where you are stuck.
 
chiro said:
The best thing to do is to actually work out the integral of f(x)cos(nx) with limits of -pi to pi. You can use the fact that cos(n*pi) = cos(n*-pi). Again do it by parts so that after a few applications by parts you get a term on the RHS which you can move to the LHS so that you get an explicit expression of the integral.

When you integrate you're cos(nx) you'll get a 1/n sin(nx) which will be zero (since sin(n*pi) = 0 for any integer n). Once you get your integral with cos(nx) terms, use your knowledge of odd functions to show that the integral is zero and you're done.

It will help if you try and do it by parts so I can help you where you are stuck.

chiro said:
The best thing to do is to actually work out the integral of f(x)cos(nx) with limits of -pi to pi. You can use the fact that cos(n*pi) = cos(n*-pi). Again do it by parts so that after a few applications by parts you get a term on the RHS which you can move to the LHS so that you get an explicit expression of the integral.

When you integrate you're cos(nx) you'll get a 1/n sin(nx) which will be zero (since sin(n*pi) = 0 for any integer n). Once you get your integral with cos(nx) terms, use your knowledge of odd functions to show that the integral is zero and you're done.

It will help if you try and do it by parts so I can help you where you are stuck.

I've done it by parts and for my parts I've got
u=f(x) v'=cos(nx)
u'=f'(x) v=sin(nx)/n

so then i get
[tex]0-\int\frac{sin(nx)}{n}f'(x)dx[/tex] (with the integral still between -pi and pi)

but then if i do this again with
a=sin(nx)/n b'=f'(x)
a'=cos(nx) b=f(x)

i just end up with [tex]0-\int f(x)cos(nx)dx[/tex] with the integral between -pi and pi

and then the whole thing is just the same again :S
 
i don't know why that's not coming up with f(x)cos(nx) but it is supposed to be there!
 
I've tried it with

a=f'(x) b'=sin(nx)/n
a'=f''(x) b=-cos(nx)/n^2

and iv got that if f is even then the whole is 0
and if f is odd then the whole thing is -2f'(pi)cos(npi)/n^2

I feel like I've gone wrong here?
 
You might try this instead:

1. Break your integral into two integrals covering x=-pi to 0, and x=0 to pi.
2. Perform a substitution of variables u=-x in the first integral.
3. Negate the first integral and reverse its limits so both integrals now cover 0 to pi.
4. Now call the first variable "x" instead of "u". It's a dummy variable so you can write it how you like.
5. You should have two integrals over the range x=0 to pi, the first has integrand f(-x)exp(inx), the second integral has integrand f(x)exp(-inx).
6. Use the odd property of f; by f(x) odd we mean f(-x)=-f(x). Substitute that into your first integral.
7. You finally have two integrals over the same range and both contain f(x) but different exponential terms. You are allowed to combine these integrals into a single integral.
8. The exponentials sum to a sine using a trig identity.

I've outlined all the steps for you. Try it, and come back if you get stuck.
 

Similar threads

  • · Replies 12 ·
Replies
12
Views
4K
  • · Replies 10 ·
Replies
10
Views
5K
  • · Replies 1 ·
Replies
1
Views
1K
  • · Replies 3 ·
Replies
3
Views
2K
  • · Replies 2 ·
Replies
2
Views
2K
  • · Replies 6 ·
Replies
6
Views
2K
  • · Replies 1 ·
Replies
1
Views
1K
  • · Replies 7 ·
Replies
7
Views
964
  • · Replies 4 ·
Replies
4
Views
4K
  • · Replies 1 ·
Replies
1
Views
3K