How Is Thermodynamic Temperature Calculated for a Gas at the Triple Point?

Click For Summary
SUMMARY

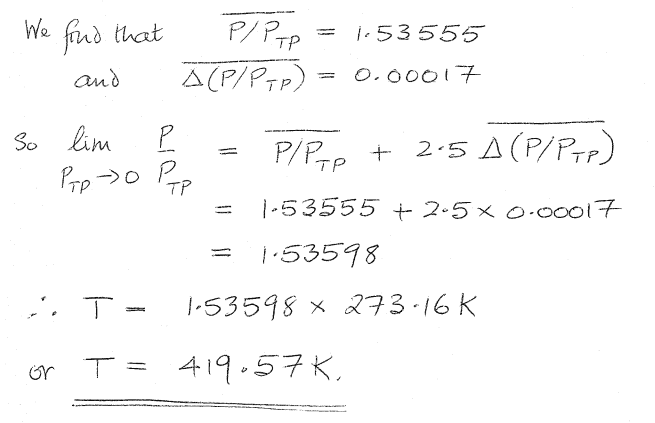
The discussion focuses on calculating the thermodynamic temperature of a gas at its triple point using the equation T = LIMPTP→0 P/PTP * 273.16. The user calculated an average value of P/PTP as 1.53555 but encountered confusion regarding an additional step involving a factor of 2.5 in the solution. Another participant suggested a simpler method by evaluating P/Ptp to five decimal places, noting a consistent increment with each decrement of 250 mmHg in Ptp, facilitating a straightforward extrapolation to zero pressure.

PREREQUISITES
  • Understanding of thermodynamic principles, specifically the concept of the triple point.
  • Familiarity with pressure measurements in mmHg.
  • Knowledge of the mathematical manipulation of ratios and limits.
  • Basic proficiency in extrapolation techniques in scientific calculations.
NEXT STEPS
  • Study the concept of the triple point in thermodynamics.
  • Learn about pressure measurement units and their conversions, particularly mmHg.
  • Investigate mathematical techniques for extrapolation in experimental data.
  • Explore advanced thermodynamic equations and their applications in gas calculations.
USEFUL FOR

Students and professionals in physics and engineering, particularly those studying thermodynamics and gas behavior at critical points.

stockill92
Messages
1
Reaction score
0
Hello, new to these forums

I'm trying to complete a basic thermodynamics problem, calculating the thermodynamic temperature of a gas immersed in water at triple point.

The problem begins with a table of pressures at varying temperatures of a gas under pressure P, and pressure P(tp) - triple point pressure.

wABiZ38.png


Now, I know the following equation;

T=LIMPTP→0P/PTP * 273.16

So I have calculated the average value of P/PTP as 1.53555

But I also have access to a solution to this problem, and in the solution an extra step is also taken:

dpQQSse.png


I don't understand the source of the 2.5 * avg change between P and P(tp). Where has this come from? Why is it necessary?

Thanks
 
Science news on Phys.org
I don't understand either, but rather than trying to do so, I've used a more straightforward method. I evaluated P/Ptp to 5 decimal places for each of the five pairs of readings. It was then clear that the ratio increased by almost the same increment for each 250 mmHg decrement in Ptp. Hence naïve extrapolation of P/Ptp to zero pressure is very straightforward.
 

Similar threads

  • · Replies 7 ·
Replies
7
Views
3K
  • · Replies 0 ·
Replies
0
Views
1K
  • · Replies 1 ·
Replies
1
Views
1K
  • · Replies 2 ·
Replies
2
Views
2K
  • · Replies 35 ·
2
Replies
35
Views
6K
  • · Replies 2 ·
Replies
2
Views
2K
  • · Replies 109 ·
4
Replies
109
Views
10K
  • · Replies 69 ·
3
Replies
69
Views
8K
  • · Replies 5 ·
Replies
5
Views
4K
  • · Replies 9 ·
Replies
9
Views
3K