How Should I Find Limits for Variables u and v in Calculus?

  • Thread starter Thread starter etf
  • Start date Start date
  • Tags Tags
    Limits
Click For Summary

Homework Help Overview

The discussion revolves around finding limits for variables u and v in the context of a calculus problem involving the volume of a solid bounded by a given equation in the first octant. The original poster seeks guidance on determining these limits after attempting a solution involving coordinate transformations.

Discussion Character

  • Exploratory, Assumption checking, Problem interpretation

Approaches and Questions Raised

  • Participants discuss the method of solving the equation for z and changing coordinate axes. Questions arise about determining the upper and lower bounds for integration in the u-v plane based on the original x-y plane limits.

Discussion Status

The discussion is active, with participants providing insights on how to visualize the limits in the u-v plane and suggesting that the original poster sketch the region of integration. There is acknowledgment of the challenges in finding appropriate transformations and limits, but no consensus has been reached yet.

Contextual Notes

Participants note the difficulty in establishing limits of integration in the x-y plane, which complicates finding limits in the u-v plane. The need for a suitable transformation that simplifies the problem is also highlighted.

etf
Messages
179
Reaction score
2
Hi!
Here is my task:

primjer.gif


Here is my attempt of solution:

pokusaj.gif


Does it make sense? How should I find limits for u and v?
I appreciate any help!
 
Physics news on Phys.org
The task is:
Find the volume of the solid bounded by ##(2x+y+3z)^2=3x+4y## in the first octant.

You method was to solve the equation above for z (taken as height above the x-y plane) - you used a substitution, and then found the Jacobean, basically changing coordinate axis.

You have the new integrand z(u,v) - as the upper bound of the volume to be found.

Now you want to slice the volume parallel to the z-u axis.
The volume of the slice at position v, thickness dv, will be $$\renewcommand{\d}{\text{d}} \d V=\d v \int_{f(v)}^{g(v)}z(u,v)\d u$$

So the question becomes: what determines the upper and lower bounds of each slice?
 
Thanks for reply!
I'm not sure I can answer...
I don't know limits of integration in x-y plane, that's problem. If I know that I could easily find limiits in u-v plane.
 
Oh right - in the x-y plane the lower limits would be 0, and the upper limit would be defined by the curve where z(x,y) intersects the x-y plane. The trouble is that you need to find, say, limits of x from 0 to f(y) ... where f is a function of y alone ... which is quite difficult from the expression. This is why you change the coordinates around: so the limits in the u-v axes are findable.

So:
Draw axis u vs v.

You know x>0 ... that should give you some relationships for u and v ... it may tell you that u<a: a is some number ... so you draw a line u=a ... all the u values are less than that. You may find that u<f(v) or v>f(u) ... so sketch the curve for that function etc.

Do it again for the limit y>0.

And again for the curve where z(u,v) intersects the u-v plane.

Once you have all those lines, you should be able to shade in the region you are doing the integration over.
Now you should be back on familiar territory.

It may be that your choice for u and v transformations is not good for this - if so, you need to find another transformation that works better.
 
granice.gif


Something like this?

Here is graph:
 

Attachments

  • dafsafsdf.jpg
    dafsafsdf.jpg
    15.3 KB · Views: 444
That's the sort of thing - shade in the u-v plane regeon that corresponds to the region you are integrating over and the next step should be apparent.

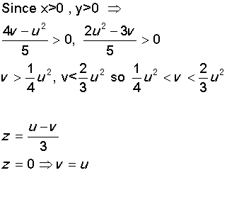
you have $$v_1 > \frac{u^2}{4}, v_2<\frac{2u^2}{3}, v_3<u$$ ... blue, dashed, and red lines respectively.
your graph is v vs u - good choice - you want to shade the area between the two parabolas that is also under the line.
 
grafik.jpg


mate.gif


Is it correct?
 
Last edited:
It looks like what I'd do... you've certainly got the right idea.
Well done.
 
I would not have succeeded without your help.
Thanks a lot!
 
  • #10
No worries.
You'd have got there eventually - you'd actually done all the calculations already ;)
Hopefully, you now have a better general feel for these integrals where, before, there was just these magic rules and formulas.
Cheers :)

On another note: it must have been a bit of a pain making and uploading those images.
Recommend you learn to use the LaTeX system - used in a lot of sites, also professionally and academically.
https://www.physicsforums.com/showpost.php?p=3977517&postcount=3
... it also helps preserve the answers for other people: notice i was careful to retype everything that would have the question make sense even if the pics vanished sometime later?
 
  • #11
I should definitely learn LaTeX, upload of images is really painful.
 
  • #12
Use the quote button on any of my posts with an equation in them to see what I did.
Compare with the notes in the link.

It's well worth it - and not all that much trouble: the basics of typesetting equations takes about 10mins.
Most of the commands are pretty much what you'd guess... like if you want to write a sine function you type "\sin", you want a Greek letter you just write the name of it so I can write: "y=A\sin\omega t", to get ##y=A\sin\omega t## when I put it inside double-hash marks. Want a cap greek letter? Spell it with a cap: "\Omega" gets you ##\Omega##.

It's faster, and easier even, than using wysiwyg equation editors ;)

Anyway - enjoy.
 

Similar threads

  • · Replies 16 ·
Replies
16
Views
3K
  • · Replies 9 ·
Replies
9
Views
3K
Replies
21
Views
3K
Replies
5
Views
2K
  • · Replies 58 ·
2
Replies
58
Views
5K
  • · Replies 28 ·
Replies
28
Views
3K
  • · Replies 5 ·
Replies
5
Views
2K
Replies
9
Views
2K
  • · Replies 5 ·
Replies
5
Views
2K
Replies
21
Views
3K