Change of variable for Jacobian: is there a method?

Click For Summary

Homework Help Overview

The discussion revolves around selecting the correct change of variables for a region in the x-y plane, specifically using the Jacobian method. The variables of interest are defined as ##u\in [0,2]## and ##v \in [0,1]##, with a focus on justifying the choice of substitution that maps the given region to a rectangular area.

Discussion Character

  • Exploratory, Assumption checking, Problem interpretation

Approaches and Questions Raised

  • Participants explore the reasoning behind the choice of substitution for the variables, questioning how the instructor arrived at the specific mapping. There is discussion about the systematic methods for determining appropriate changes of variables and the implications of different substitutions.

Discussion Status

Several participants have provided insights into the problem, with some suggesting that the choice of variable ##v## is critical and can be narrowed down based on the constraints of the region. Others have noted the potential for multiple interpretations and the need to visualize the transformed boundaries to clarify the correct option.

Contextual Notes

There is mention of an additional option in the problem that was not initially presented, which adds complexity to the decision-making process. Participants are also considering common substitutions and their effectiveness in similar problems.

fatpotato
Homework Statement
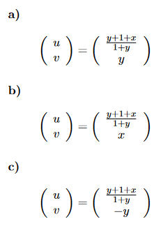
Choose the correct change of variables among the three possible choices to map ##\Sigma## to a rectangular region.
Relevant Equations
None for now
Hello,

This problem comes just prior to introducing change of variables with Jacobian.

Given the following region in the x-y plane, I have to choose (with justification) the correct change of variables associated, for ##u\in [0,2]## and ##v \in [0,1]##.

The correct choice here is a), but I do not understand why...Solution only mentions that a possible change of variable for x would be ##x = -(y+1) + u(y+1)##, so we get to solution a).

Here is my question: is there a systematic way of finding the appropriate change of variables? How did the instructor suddenly decide that choosing the previous substition would be a good idea to solve the problem? I have no idea where to begin.

Thank you very much for your help.
 

Attachments

  • 1648999187706.png
    1648999187706.png
    7.4 KB · Views: 180
  • 1648999375243.png
    1648999375243.png
    4.3 KB · Views: 182
Physics news on Phys.org
fatpotato said:
Homework Statement:: Choose the correct change of variables among the three possible choices to map ##\Sigma## to a rectangular region.
Relevant Equations:: None for now

Hello,

This problem comes just prior to introducing change of variables with Jacobian.

Given the following region in the x-y plane, I have to choose (with justification) the correct change of variables associated, for ##u\in [0,2]## and ##v \in [0,1]##.

The correct choice here is a), but I do not understand why...Solution only mentions that a possible change of variable for x would be ##x = -(y+1) + u(y+1)##, so we get to solution a).
You can at least verify that ##u=0## and ##u=2## correspond to the left-hand boundary and the right-hand boundary, respectively, for the region in the x-y plane.
Also, ##u=1## corresponds to the vertical line, ##x=0## which passed through the middle of the region.

Here is my question: is there a systematic way of finding the appropriate change of variables? How did the instructor suddenly decide that choosing the previous substitution would be a good idea to solve the problem? I have no idea where to begin.

Thank you very much for your help.
It's hard to guess how the instructor decided on that substitution (whether it was sudden or not). It's also difficult to guess the reason for choosing that particular region for the new variables, except to observe that the new region is in the 1st Quadrant.

Let's examine choice a), with emphasis on the defined mapping for new variable, ##u##. - The mapping for variable ##v## is trivial.

Rewrite
##\displaystyle u=\frac{ x+y+1 }{ y+1 } ##

##\quad \displaystyle=\frac{ x }{ y+1 } + \frac{ 1 }{ y+1 } ##

##\quad \displaystyle=\frac{ x }{ y+1 } +1 ##

The effect of that final term of 1 is to shift the rectangle 1 unit in the positive ##u## direction.

Let's drop that final ## + 1 ## and change the variable name from ##u## to ##n## so as to avoid confusion. We now have:
## \displaystyle n=\frac{ x }{ y+1 } ##.

Solving for ##x## gives : ## \displaystyle x=n\left(y+1 \right) ##.

If you think of the rather unusual practice of graphing ##x## as a function of ##y##, we have that this gives a line with slope ##n## and ##y## intercept of ##-1## .

Any such line with slope ## n \in [ -1,~1]## will intersect the trapezoid at all values of ##y \in [0,~1]## and nowhere else.
 
  • Like
Likes   Reactions: fatpotato
Hello,

Thank you for your answer. I did not think about formulating ##u## as a parameter ##n##! This gives a nice parametric linear equation and indeed gives insight on the area's border.

SammyS said:
It's hard to guess how the instructor decided on that substitution (whether it was sudden or not).
I guess that there are usual tricks to know and to try on typical problems...Going through a Schaum on change of variables with Jacobian matrices, I noticed the prevalence of certain substitutions, like ##x=u+v##, ##y=u-v## and the classical polar coordinates substitution.
 
You might begin by noting that ##u## is the same in all three options so all that we must do is to choose the appropriate ##v##, since ##x## is bounded by functions of ##y## we know (b) is incorrect. The remaining two give ##v=\pm y## and being as it is given that ##v\in \left[ 0,1\right]## and ##0\le y\le 1## we must have ##v=y## (throwing out the negative) or change of variables (a).
 
  • Like
Likes   Reactions: fatpotato
benorin said:
You might begin by noting that ##u## is the same in all three options so all that we must do is to choose the appropriate ##v##, since ##x## is bounded by functions of ##y## we know (b) is incorrect. The remaining two give ##v=\pm y## and being as it is given that ##v\in \left[ 0,1\right]## and ##0\le y\le 1## we must have ##v=y## (throwing out the negative) or change of variables (a).
This is indeed clever, however there is a twist.

I cropped the solution picture: there should be an additional answer d) for "None of the above". I cropped the last choice because it was not in english. But I still agree with you, it is more efficient to only check for the substitution for ##v## in this case.
 
  • Like
Likes   Reactions: benorin
In that case you need only narrow it down to (a) or (d) and then draw out the transformed boundaries to see which of the two options is correct.
 
  • Like
Likes   Reactions: fatpotato

Similar threads

Replies
21
Views
3K
  • · Replies 3 ·
Replies
3
Views
2K
  • · Replies 16 ·
Replies
16
Views
3K
  • · Replies 10 ·
Replies
10
Views
2K
  • · Replies 1 ·
Replies
1
Views
3K
  • · Replies 3 ·
Replies
3
Views
1K
  • · Replies 3 ·
Replies
3
Views
2K
  • · Replies 3 ·
Replies
3
Views
2K
  • · Replies 4 ·
Replies
4
Views
2K
Replies
5
Views
4K