How to Apply Stoke's Theorem on a Hemispherical Surface?

Click For Summary
SUMMARY

This discussion focuses on applying Stokes' Theorem to a hemispherical surface, specifically addressing the ambiguity of the boundary curve C. Participants clarify that C can be defined as the boundary on the xy-plane, allowing the use of the xy-plane projection for the integral ∫F.dr. The solution provided confirms that using the xy-plane projection is indeed correct for this scenario, ensuring proper application of Stokes' Theorem.

PREREQUISITES
  • Understanding of Stokes' Theorem
  • Familiarity with vector fields and line integrals
  • Knowledge of surface integrals
  • Basic concepts of projection in multivariable calculus
NEXT STEPS
  • Study the application of Stokes' Theorem in various geometries
  • Learn about vector field visualization techniques
  • Explore the relationship between line integrals and surface integrals
  • Investigate common mistakes in applying Stokes' Theorem
USEFUL FOR

Students of multivariable calculus, educators teaching vector calculus, and anyone looking to deepen their understanding of Stokes' Theorem and its applications in different surfaces.

fonseh
Messages
521
Reaction score
2

Homework Statement


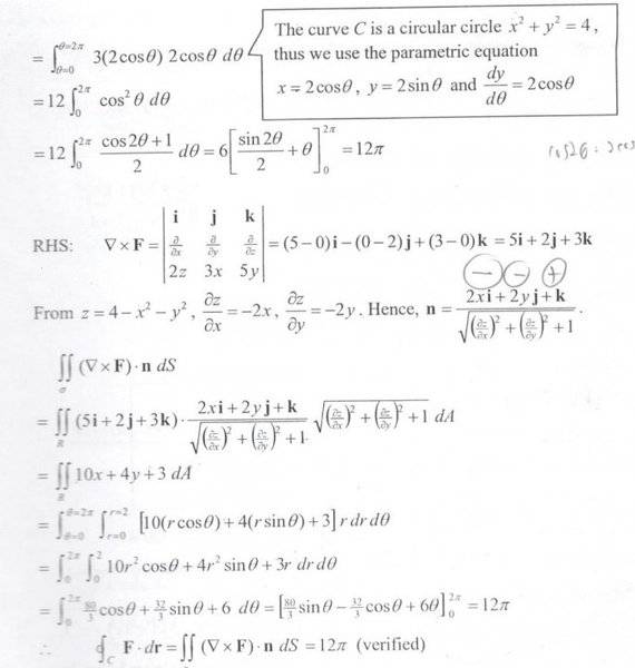
In the first and second photo , it's stated earlier that the C is the boundary of surface on xy plane , but in the question in the 3rd picture , it's not stated that the C is on which surface , so , how to do this question ?
For ∫F.dr , i am not sure how to get r , coz i am not sure i should to use which surface as 2d projection .
In the first photo , it's stated earlier that C is on xy-plane , so xy - plane projection is used.
In the solution provided in the 4th photo , the author use xy plane projection , is the concept correct ?

Homework Equations

The Attempt at a Solution

 

Attachments

  • 1111.jpg
    1111.jpg
    37.1 KB · Views: 866
  • 1122.jpg
    1122.jpg
    31.5 KB · Views: 655
  • 1133.jpg
    1133.jpg
    13 KB · Views: 518
  • 1144.jpg
    1144.jpg
    13 KB · Views: 576
Physics news on Phys.org
fonseh said:
in the question in the 3rd picture , it's not stated that the C is on which surface
Not an area I know, but it looks to me that you can define C as the boundary in xy plane and that allows you to apply Stokes' theorem.
 

Similar threads

  • · Replies 21 ·
Replies
21
Views
4K
  • · Replies 7 ·
Replies
7
Views
3K
  • · Replies 2 ·
Replies
2
Views
2K
  • · Replies 1 ·
Replies
1
Views
1K
  • · Replies 4 ·
Replies
4
Views
2K
Replies
3
Views
2K
  • · Replies 3 ·
Replies
3
Views
2K
  • · Replies 2 ·
Replies
2
Views
2K
  • · Replies 6 ·
Replies
6
Views
3K
  • · Replies 12 ·
Replies
12
Views
6K