How to Convert Maxwell's Equations into Integral Form

Click For Summary
SUMMARY

This discussion focuses on converting Maxwell's Equations from differential form to integral form, specifically utilizing Gauss' Law, Faraday's Law, and the Ampere-Maxwell Law. The conversion employs vector analysis properties such as divergence and curl, with Stokes' theorem applied for curl equations. Integral forms are derived, including the expressions for electric and magnetic fields, as well as alternative forms like Coulomb's Law and the Biot-Savart Law. The discussion emphasizes that these conversions are more complex than a straightforward differentiation to integration process.

PREREQUISITES
  • Understanding of Maxwell's Equations in differential form
  • Familiarity with vector calculus concepts such as divergence and curl
  • Knowledge of Gauss' Law and Stokes' Theorem
  • Basic principles of electromagnetism, including electric and magnetic fields
NEXT STEPS
  • Study the derivation of Gauss' Law in integral form
  • Explore Stokes' Theorem and its applications in electromagnetism
  • Learn about the Biot-Savart Law and its significance in magnetic field calculations
  • Investigate the Lienard-Wiechert potentials for non-steady state solutions of Maxwell's equations
USEFUL FOR

Students and professionals in physics, electrical engineering, and applied mathematics who are looking to deepen their understanding of electromagnetic theory and vector calculus applications.

Anne Leite
Messages
7
Reaction score
0

Homework Statement


I'd like to know how to convert Maxwell's Equations from Differencial form to Integral form.

Homework Equations


upload_2017-1-12_19-57-50.png
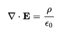
Gauss' Law
upload_2017-1-12_19-58-28.png
Gauss' Law for Magnetism
upload_2017-1-12_19-59-6.png
Faraday's Law
upload_2017-1-12_20-0-5.png
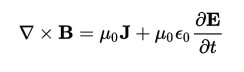
The Ampere-Maxwell Law

The Attempt at a Solution


Convert using properties of vector analysis (as Divergence and Curl). May I convert them, using the opposite process that I would use to convert the integral form to differential form?
 
Last edited:
Physics news on Phys.org
There are a couple of ways to get integral forms of Maxwell's equations. Gauss' law can be applied to the equation ## \nabla \cdot E=\rho/\epsilon_o ## to give ## \int \nabla \cdot E \, d^3x= \int E \cdot \, dA=Q/\epsilon_o ## where ## Q ## is the total charge enclosed, and the flux of the electric field is over the surface of the enclosed volume. An alternative integral form can be written for this equation: ## E(x)=\int \frac{\rho(x')(x-x')}{4 \pi \epsilon_o |x-x'|^3} \, d^3x' ## . This second form is essentially Coulomb's law (inverse square law) for the electric charge distribution ## \rho(x) ##. ## \\ ## Gauss' law can also be employed on the equation ## \nabla \cdot B=0 ##, but usually this one is just used in a qualitative form where the lines of flux for the magnetic field ## B ## are said to be continuous. In integral form, it reads ## \int B \cdot \, dA=0 ##. ## \\ ## ## \\ ## For the curl equations, Stokes theorem (## \int \nabla \times E \cdot \, dA=\oint E \cdot \, ds ##), is usually employed, e.g. Faradays law becomes ##\varepsilon= \oint E \cdot \, ds=-\int (\frac{\partial{B}}{\partial{t}}) \cdot \, dA ##. ## \\ ## For the curl B, in the steady state, again Stokes law is often employed to give ## \oint B \cdot ds=\mu_o I ##. An alternative integral form does exist for this one also in the steady state which is the Biot-Savart Law: ## B(x)=\int \frac{\mu_o J(x') \times (x-x')}{4 \pi |x-x'|^3} \, d^3x' ##. For the non-steady state, I believe the solutions of Maxwell's equations are found by the Lienard-Wiechert method, but that is likely to be beyond the scope of what you are presently doing. ## \\ ## It is worth noting that the integral forms of these, which is sometimes treated in courses in vector calculus, are a little more complicated than simply going from differentiation to integration.
 
Last edited:
  • Like
Likes   Reactions: BvU

Similar threads

  • · Replies 6 ·
Replies
6
Views
3K
Replies
5
Views
2K
  • · Replies 5 ·
Replies
5
Views
2K
  • · Replies 18 ·
Replies
18
Views
5K
  • · Replies 3 ·
Replies
3
Views
953
  • · Replies 9 ·
Replies
9
Views
1K
  • · Replies 16 ·
Replies
16
Views
2K
  • · Replies 6 ·
Replies
6
Views
2K
  • · Replies 5 ·
Replies
5
Views
3K
  • · Replies 7 ·
Replies
7
Views
2K