How to Determine the Direction of Curvature in a Phase Portrait?

  • Thread starter Thread starter DODGEVIPER13
  • Start date Start date
  • Tags Tags
    Phase
Click For Summary

Homework Help Overview

The discussion revolves around determining the direction of curvature in a phase portrait related to a differential equation represented in matrix form. Participants are examining the implications of eigenvalues and eigenvectors on the behavior of phase lines in the context of stability analysis.

Discussion Character

  • Conceptual clarification, Assumption checking, Problem interpretation

Approaches and Questions Raised

  • Participants are exploring the relationship between eigenvalues and the direction of curvature in phase portraits. Questions arise regarding the reasoning behind the curvature direction depicted in provided images and the significance of larger eigenvalues in determining phase line behavior.

Discussion Status

Some participants have offered insights into the relationship between eigenvalues and the outward movement of phase lines from the origin. There is recognition of the importance of the larger eigenvalue in guiding the direction of curvature, though questions remain about scenarios where multiple interpretations might exist.

Contextual Notes

Participants reference external resources for clarity and context, indicating potential constraints in accessing the original problem statement and solutions. There is an acknowledgment of the complexity involved in visualizing phase portraits and the implications of eigenvalue relationships.

DODGEVIPER13
Messages
668
Reaction score
0

Homework Statement


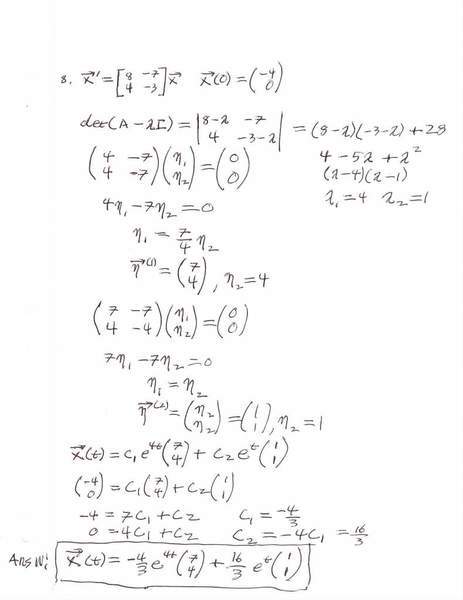
Get the actual solution for the differential equation in matrix form? It is uploaded


Homework Equations





The Attempt at a Solution


My question is why is it drawn in the upload as the top picture on the upload shows, why not as the second picture shows how did they figure out which way the curvature goes? I realize the positive eigenvalues indicate that the two eigenvectors marked in dark black will go away from the origin and thus so will the curveing line. I can also see that (ada1) vector is bigger and so as T values are positive and large it will dominate and go parallel to (ada2) and when negative and large T are input it will go parallel to (ada1).
 

Attachments

  • EPSON012.jpg
    EPSON012.jpg
    20.2 KB · Views: 587
  • EPSON013.jpg
    EPSON013.jpg
    21.9 KB · Views: 551
Physics news on Phys.org
This is where I got the problem from it may be clearer here: http://www.math.lamar.edu/faculty/dawkins/archive/Spring2011/3301/11SpringHwk10.pdf . and the next pdf is for the solutions: http://www.math.lamar.edu/faculty/dawkins/archive/Spring2011/3301/11SpringHwk10_Soln.pdf . If you can't access this please go to lamar.edu click academics click mathematics then faculty and staff then paul dawkins then archives then 2011 and spring semester go to homework 10.
 
Last edited by a moderator:
What you have done is very good. Note that the eigenvector <7, 4>, which gives to the line y= (4/7)x, corresponds to eigenvalue +4 while the eigenvector <1, 1>, which gives the line y= x, corresponds to eigenvalue +1. Since both eigenvalues are positive all phase lines move outward from the origin but tend to go more along y= (4/7)x than along y= x because that has the larger eigenvalue. In your first picture, the lines do tend first along y= (4/7)x, some then turning back toward y= x. In your second picture, where you ask "why not this" is the other way.

So there is your answer. The first picture is correct because eigenvalue 4 is larger than eigenvalue 1.
 
Ok I think I have it now to must go with the eigenvalue that is larger and I can kinda see why that makes sense because the lines can't cross each other so for it to go with the larger of the two there is only one way it can go without crossing but what if I get a problem where I can do it both ways such that it follows the larger eigenvalue?
 

Similar threads

  • · Replies 1 ·
Replies
1
Views
2K
  • · Replies 1 ·
Replies
1
Views
2K
Replies
1
Views
3K
Replies
1
Views
2K
  • · Replies 8 ·
Replies
8
Views
3K
  • · Replies 1 ·
Replies
1
Views
2K
  • · Replies 5 ·
Replies
5
Views
3K
Replies
12
Views
3K
  • · Replies 1 ·
Replies
1
Views
2K
  • · Replies 1 ·
Replies
1
Views
5K