How to find r(t) when we are given conditions - ODE

  • Thread starter Thread starter Cocoleia
  • Start date Start date
  • Tags Tags
    Conditions Ode
Click For Summary

Homework Help Overview

The discussion revolves around determining the function r(t) in the context of ordinary differential equations (ODEs). Participants are examining how r(t) is defined in different scenarios and the implications of those definitions on solving the associated problems.

Discussion Character

  • Conceptual clarification, Assumption checking

Approaches and Questions Raised

  • Participants are questioning how the definitions of r(t) as u(t-1) and t-tu(t-1) are chosen and what criteria guide these choices. There is an exploration of the implications of these definitions on the solutions to the problems.

Discussion Status

Some participants are seeking clarification on the rationale behind the selection of r(t), while others are suggesting that the choice is arbitrary and depends on the problem designer's intent. There is an ongoing examination of the relationship between r(t) and the solutions being sought.

Contextual Notes

Participants note that r(t) can take various forms depending on the problem context, and there is a mention of the zero condition for r(t) in specific intervals, which influences the integration approach in solving the ODEs.

Cocoleia
Messages
293
Reaction score
4

Homework Statement


Consider the following problems
upload_2016-12-9_19-11-13.png

In #2, they start the solution by saying: r(t)=u(t-1)
in #3, they start by saying that r(t)=t-tu(t-1)
I understand how to solve the problem once you get r(t), I just don't understand how they decide what r(t) is going to be.
 
Physics news on Phys.org
I don't understand your question. r(t) is given as part of the problem. It can be whatever the person that designed the problem wants it to be. You are supposed to solve for y(t). Consider a similar algebraic problem:

y + 3 = W

(1) Solve for y when W = 19.
(2) Solve for y when W = 27.

Your question is like asking, "How did they decide on the values of 19 and 27?". Answer: They just made them up.
 
phyzguy said:
I don't understand your question. r(t) is given as part of the problem. It can be whatever the person that designed the problem wants it to be. You are supposed to solve for y(t). Consider a similar algebraic problem:

y + 3 = W

(1) Solve for y when W = 19.
(2) Solve for y when W = 27.

Your question is like asking, "How did they decide on the values of 19 and 27?". Answer: They just made them up.
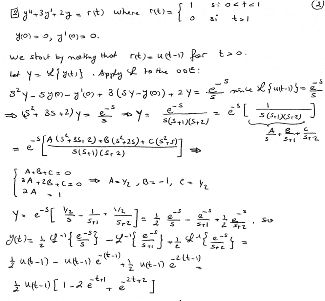
Here is the solution for #2:
upload_2016-12-9_19-58-58.png

If they would have chose a different r(t) at the very start, they would have gotten an answer (since we take the laplace and use it to solve the problem). My question is how would I know to say r(t)=u(t-1) in this case, where as for #3 they do:
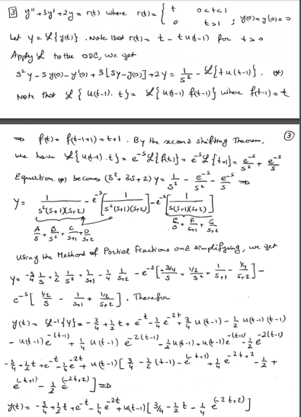
upload_2016-12-9_20-0-30.png

taking r(t)=t-tu(t-1)
 
Cocoleia said:

Homework Statement


Consider the following problems
View attachment 110194
In #2, they start the solution by saying: r(t)=u(t-1)
in #3, they start by saying that r(t)=t-tu(t-1)
I understand how to solve the problem once you get r(t), I just don't understand how they decide what r(t) is going to be.

You do not need to write ##r(t)## in terms of ##u(t-1)##; you can just integrate directly, to find
$$ ({\cal L}\,r)(s) = \int_0^{\infty} e^{-st} r(t) \, dt = \int_1^{\infty} e^{-st} r(t) \, dt,$$
because in both cases we have ##r(t) = 0 ## when ##0 < t < 1##.
 
Without having looked at your working, it just seems to me unnecessarily complicated just from the length of it.

When you have the = 0 condition you have just got a common or garden homogeneous lde, with an easily factorable differential operator if you want to look at it that way.
When you have the = 1 condition, it is just the same homogeneous lde if you make a new variable, Y say, Y = (y - 1) .
Is that right?
If so then it's usually not such a long calculation so if you're finding it any more complicated than this then if I were you I would do it again simpler and see if its checks with what you have done.

Maybe in problems like this you just have to look and see sometimes the variable in the solution might reach a a point where equation changes.
 

Similar threads

Replies
4
Views
2K
  • · Replies 6 ·
Replies
6
Views
2K
Replies
2
Views
2K
Replies
5
Views
2K
  • · Replies 24 ·
Replies
24
Views
5K
Replies
1
Views
1K
Replies
4
Views
2K
Replies
6
Views
1K
Replies
4
Views
2K
  • · Replies 9 ·
Replies
9
Views
2K