How to Find the Ratio of Areas in a Scalene Triangle?

Click For Summary

Homework Help Overview

The discussion revolves around finding the ratio of areas in a scalene triangle, with participants exploring various approaches to the problem. The original poster expresses uncertainty about how to begin, mentioning attempts to assign coordinates to the triangle's vertices.

Discussion Character

  • Exploratory, Assumption checking, Problem interpretation

Approaches and Questions Raised

  • Participants discuss the need for visual aids, such as sketches, to clarify their understanding. There are inquiries about the original poster's work and whether simpler methods exist for solving the problem. The original poster describes using a formula and setting up equations based on the triangle's area, indicating a complex approach.

Discussion Status

The conversation is ongoing, with participants seeking clarification on the original poster's solution and expressing interest in alternative methods. Some guidance has been offered regarding the need for more detailed work and visual representation, but no consensus has been reached on a simpler solution.

Contextual Notes

Participants are encouraged to share their work and visual representations, which may help in understanding the problem better. There is a mention of forum policies regarding sharing solutions, indicating a focus on collaborative learning.

songoku
Messages
2,514
Reaction score
395
Homework Statement
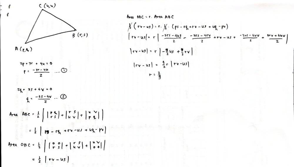
The vertices of triangle ABC are A (p,q), B (r, s), C (u, v). Given that those points fulfill equation 2p + 3r + 4u = 0 and 2q + 3s + 4v = 0 and the origin lies in the interior of the triangle. If area of OBC = r times of ABC, find r
Relevant Equations
Not sure
I do not know where to start. I draw scalene triangle and assign each coordinates to the vertices. Tried writing something but none working. Please give me a hint to start.

Thanks
 
Physics news on Phys.org
Can you attach a PDF or JPEG file with your sketch in it please? And please show as much of your work as you can. Thanks.
 
  • Like
Likes   Reactions: songoku
berkeman said:
Can you attach a PDF or JPEG file with your sketch in it please? And please show as much of your work as you can. Thanks.

I think I get it. Thank you very much berkeman
 
  • Like
Likes   Reactions: berkeman
songoku said:
I think I get it. Thank you very much berkeman
Am I to understand you solved it and are done? If so then I would like to know if there is a simpler way of solving it than what I did. My solution is not simple. I can show my work if that is not interfering with forum policies.
 
aheight said:
Am I to understand you solved it and are done? If so then I would like to know if there is a simpler way of solving it than what I did. My solution is not simple. I can show my work if that is not interfering with forum policies.
He has to show his correct solution before we can suggest any alternatives. :smile:
 
aheight said:
Am I to understand you solved it and are done? If so then I would like to know if there is a simpler way of solving it than what I did. My solution is not simple. I can show my work if that is not interfering with forum policies.

Yes I solved it but I don't think my method is simple. I use formula from this link https://sciencing.com/area-triangle-its-vertices-8489292.html

I set up equation using information area ABC = r . Area OBC (the equation has a lot variables p, q, r, s u, v) then using another two equations given from question (I make p and q as subject) I substitute them to equation of area. Basically I use brute force to solve it 😅
 
songoku said:
I set up equation using information area ABC = r . Area OBC (the equation has a lot variables p, q, r, s u, v) then using another two equations given from question (I make p and q as subject) I substitute them to equation of area. Basically I use brute force to solve it 😅

Kindly provide a summary of your work including a sample plot with labels. Nicely formatted in Latex would be nice too.:cool:
 
  • Like
Likes   Reactions: berkeman
Document_1.jpg
 

Similar threads

Replies
5
Views
2K
  • · Replies 2 ·
Replies
2
Views
1K
  • · Replies 9 ·
Replies
9
Views
4K
Replies
2
Views
2K
  • · Replies 14 ·
Replies
14
Views
2K
Replies
3
Views
2K
  • · Replies 9 ·
Replies
9
Views
2K
  • · Replies 15 ·
Replies
15
Views
3K
  • · Replies 14 ·
Replies
14
Views
3K
Replies
3
Views
2K