Ratio of areas of squares - Challenging problem

  • Context: MHB 
  • Thread starter Thread starter Lancelot1
  • Start date Start date
  • Tags Tags
    Areas Ratio Squares
Click For Summary
SUMMARY

The discussion centers on solving a complex geometry problem involving the ratio of areas of squares, specifically between square ABCD and inner square KLIJ. The first part of the problem establishes a ratio of 1:3, leading to the area ratio of the squares being calculated as (n-1)²/(n²+1). The second part modifies the ratio to 1:4, prompting a similar analysis. The solution emphasizes the use of similar triangles and corrects a calculation error regarding the area of triangle DEA.

PREREQUISITES
  • Understanding of geometric principles, particularly similar triangles.
  • Familiarity with area calculations of squares and triangles.
  • Basic knowledge of algebraic manipulation and functions.
  • Ability to interpret geometric behavior from functions and graphs.
NEXT STEPS
  • Explore the properties of similar triangles in geometry.
  • Study the implications of changing ratios in geometric configurations.
  • Learn about the behavior of functions and their graphical representations.
  • Investigate advanced area calculations involving multiple geometric shapes.
USEFUL FOR

Students and educators in mathematics, particularly those focused on geometry, as well as anyone interested in solving complex geometric problems and understanding the relationships between shapes.

Lancelot1
Messages
26
Reaction score
0
Hello all,

I have encountered a very difficult question in geometry. The question has several parts. I really need your help. I have tried solving the first and second ones, not sure I did it correctly, and certainly don't know how to proceed and what the results means. I would really appreciate your help in solving this tricky one...My solution is at the end, below the question.

Thank you in advance !

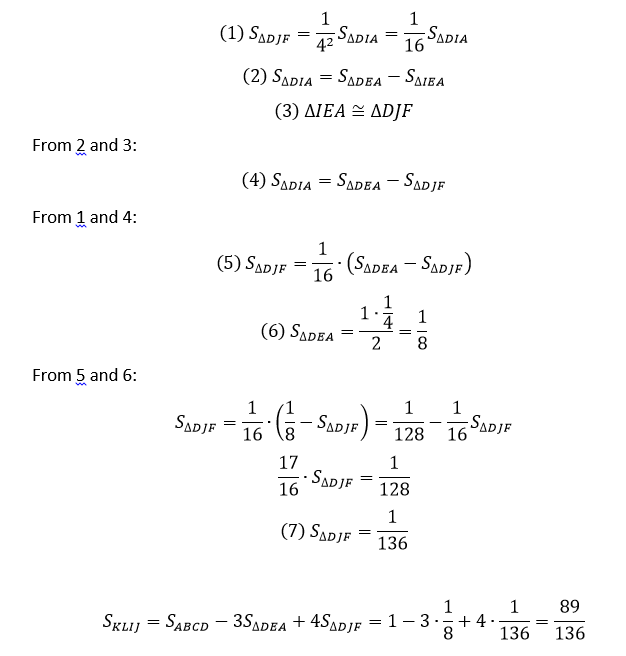
1) A square ABCD is given. Each vertex is connected with a point on the opposite edge (clockwise) such that the ratio between the closer part to the vertex and the edge of the square is 1:3. Find the ratio of areas between the squares KLIJ and ABCD.

View attachment 8006

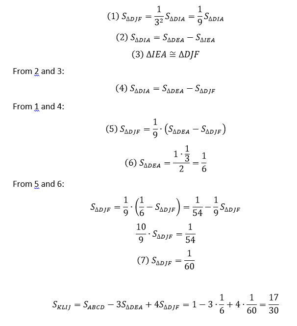
2) Solve the previous problem when the ratio is 1:4 instead of 1:3.

3) Complete the following table:

View attachment 8005

What is your conclusion ?

4) Look at the graph of

\[f(x)=\frac{(x-1)^{2}}{x^{2}+1}\]

View attachment 8007

What is the geometric explanation to the function's behavior ?
What is the meaning of area where the function increases / decreases ? What is the meaning of the asymptote ? Can this function be generalized to the negative region ? What does it mean ?

My solution (assuming the length is 1):

View attachment 8008

View attachment 8009
 

Attachments

  • square problem 2.PNG
    square problem 2.PNG
    2.4 KB · Views: 173
  • square problem.PNG
    square problem.PNG
    11.9 KB · Views: 162
  • square problem 3.PNG
    square problem 3.PNG
    4.7 KB · Views: 160
  • square problem 4.PNG
    square problem 4.PNG
    8.7 KB · Views: 145
  • square problem 5.PNG
    square problem 5.PNG
    9.7 KB · Views: 166
Mathematics news on Phys.org
This is an interesting problem. I found it easier to take the size of the large square $ABCD$ to be $n\times n$, so that the lengths of the segments $AE$, $BH$, ... , are $1$.

I think that the best way to tackle the problem is to use similar triangles. The triangles $ABH$ and $AIE$ are similar (having the same angles). The sides of the larger triangle $ABH$ are $1$, $n$ and (by Pythagoras) $\sqrt{n^2+1}$. The hypotenuse of the smaller triangle $AIE$ is $1$, so the ratio of corresponding sides in the triangles is $1:\sqrt{n^2+1}$. From that, you can find the lengths of the other two sides of the smaller triangle.

Now look at the line $AH = AI + IL + LH$. In that equation, you now know everything except $IL$. So you can use that to find the length of the sides of the inner square $IJKL$, which turns out to be $\dfrac{n(n-1)}{\sqrt{n^2+1}}.$ That gives the ratio of the areas of the squares $ABCD$ and $IJKL$ to be $\dfrac{(n-1)^2}{n^2+1}$.

Your calculation using areas is also a good method, and it is correct right up to the last line $S_{KLIJ} = S_{ABCD} - 3S_{\triangle DEA} + 4S_{\triangle DJF}$, which should be $S_{KLIJ} = S_{ABCD} - 4S_{\triangle DEA} + 4S_{\triangle DJF}$.
 

Similar threads

  • · Replies 1 ·
Replies
1
Views
2K
  • · Replies 6 ·
Replies
6
Views
3K
Replies
2
Views
1K
  • · Replies 2 ·
Replies
2
Views
1K
  • · Replies 2 ·
Replies
2
Views
2K
  • · Replies 1 ·
Replies
1
Views
2K
Replies
3
Views
2K
Replies
2
Views
2K
  • · Replies 68 ·
3
Replies
68
Views
13K
Replies
2
Views
2K