How to get my function from these dsolve results

Click For Summary
SUMMARY

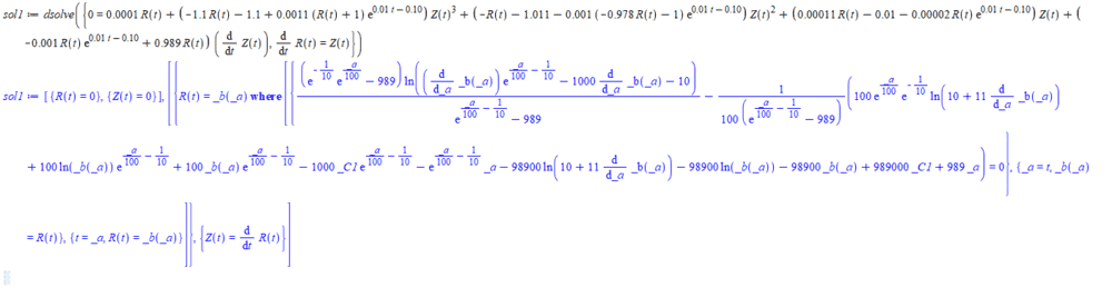
The discussion centers on solving a system of ordinary differential equations (ODEs) using the dsolve function in Maple. The user seeks to extract the function R(t) from the dsolve results and inquire about incorporating initial conditions into the solution. It is noted that the system may be non-linear in Z(t), suggesting that users should consider the specific differential equation outlined in part b(a) for further analysis.

PREREQUISITES
  • Familiarity with ordinary differential equations (ODEs)
  • Understanding of the dsolve function in Maple 2023
  • Knowledge of non-linear systems in differential equations
  • Basic skills in substituting initial conditions in mathematical functions
NEXT STEPS
  • Learn how to extract specific functions from dsolve results in Maple
  • Research methods for substituting initial conditions in ODE solutions
  • Explore non-linear differential equation solving techniques in Maple
  • Study the implications of initial conditions on the behavior of ODE solutions
USEFUL FOR

Mathematicians, engineers, and students working with differential equations, particularly those using Maple for solving ODE systems and analyzing initial conditions.

Dwightun
Messages
2
Reaction score
0
TL;DR
I got the solution by dsolve? but don't understand how to get my function from it
Hi!
I'm trying to solve ODE system with 2 equations
Here is a result from dsolve. How can i get R(t) out of it
And how to substitute initial conditions in it?
1590497786436.png
 
Physics news on Phys.org
Your system seems also non linear in ##Z(t)## ... , you can try to solve the differential equation given in ##b(a)## using copy and past on Maple ...
Ssnow
 
  • Like
Likes   Reactions: berkeman

Similar threads

  • · Replies 1 ·
Replies
1
Views
3K
  • · Replies 2 ·
Replies
2
Views
2K
  • · Replies 4 ·
Replies
4
Views
4K
  • · Replies 1 ·
Replies
1
Views
2K
  • · Replies 2 ·
Replies
2
Views
2K
Replies
4
Views
2K
  • · Replies 9 ·
Replies
9
Views
3K
  • · Replies 5 ·
Replies
5
Views
3K
  • · Replies 11 ·
Replies
11
Views
3K
Replies
3
Views
2K