How was this substitution possible?

  • Context: Undergrad 
  • Thread starter Thread starter InDireNeedOfHelp
  • Start date Start date
Click For Summary

Discussion Overview

The discussion revolves around a specific step in an example from "Fundamentals of Aerodynamics" by Anderson, focusing on the mathematical substitution involving an exponent and its implications in the context of integration and variable definitions.

Discussion Character

  • Technical explanation
  • Mathematical reasoning
  • Debate/contested

Main Points Raised

  • One participant seeks clarification on how the exponent of 0.8 was extracted from the equation to facilitate the substitution of c/cos5.
  • Another participant explains that the book likely used the antiderivative rule for exponents to integrate s^{-0.2} into s^{0.8}/0.8.
  • A different participant questions the reasoning behind the equality s20.8 - s10.8 = s120.8 = (c/cos5)0.8, expressing confusion about the variable definitions involved.
  • One participant suggests that the length c/cos5 corresponds to a vector in a diagram, proposing the mean value theorem of integration as a possible explanation.
  • A later reply posits that the author may have set s1 to 0, which would lead to the cancellation necessary for the equality to hold.

Areas of Agreement / Disagreement

Participants express confusion and seek clarification on the mathematical steps involved, indicating that there is no consensus on the reasoning behind the substitution and the definitions of the variables.

Contextual Notes

Participants note the need for additional context to fully understand the mathematical relationships and substitutions being discussed, highlighting potential missing assumptions.

InDireNeedOfHelp
Messages
3
Reaction score
0
TL;DR
I'm currently going over Fundamentals of Aerodynamics by Anderson and am stuck on this tiny step of an example.
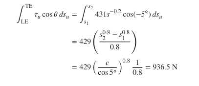
I'm currently going over Fundamentals of Aerodynamics by Anderson and am stuck on this tiny step. It is example 1.1 on page 26.

How is
1744898520535.png
equal to
1744898539567.png
? How was the 0.8 exponent taken out of the equation to make space for c/cos5?

1744898412261.png
?hash=f53d387e6e28ef240be978235c9a2f3f.png

Thank you in advance. Apologies for the formatting if it was confusing as I am new to this.
 

Attachments

  • 1744898429207.png
    1744898429207.png
    3.2 KB · Views: 63
Mathematics news on Phys.org
It looks like the book integrated ##s^{-0.2}## to ##\dfrac{s^{0.8}}{0.8}## using the usual antiderivative rule for exponents: $$\frac{d}{dx}\big (\frac{x^{n+1}}{n+1} \big) = x^n$$
 
PeroK said:
It just look likes the book integrated ##s^{-0.2}## to ##\dfrac{s^{0.8}}{0.8}## using the usual antiderivative rule for exponents: $$\frac{d}{dx}\big (\frac{x^{n+1}}{n+1} \big) = x^n$$
Hi! I understand that bit on how to integrate but I'm confused about this part: if c/cos5 = s
12, & s12= s2- s1, how is it that s20.8 - s10.8 = s120.8 = (c/cos5)0.8

Is my line of reasoning correct? Thanks
 
InDireNeedOfHelp said:
Hi! I understand that bit on how to integrate but I'm confused about this part: if c/cos5 = s
12, & s12= s2- s1, how is it that s20.8 - s10.8 = s120.8 = (c/cos5)0.8

Is my line of reasoning correct? Thanks
Without more context, I don't see it either.
 
##\dfrac{c}{\cos 5°}## is the length of ##\overline{14}=\overline{12}## that is the vector in the picture. Maybe it is the mean value theorem of integration.
 
fresh_42 said:
##\dfrac{c}{\cos 5°}## is the length of ##\overline{14}=\overline{12}## that is the vector in the picture. Maybe it is the mean value theorem of integration.
Hmmmmm. Thank you for replying but after a lot of thinking, I believe the author used s1 to be 0 so it canceled out. This would be the only way that s20.8 = s120.8 = (c/cos5)0.8.
 

Similar threads

  • · Replies 3 ·
Replies
3
Views
1K
Replies
6
Views
3K
  • · Replies 4 ·
Replies
4
Views
3K
  • · Replies 1 ·
Replies
1
Views
2K
Replies
2
Views
2K
  • · Replies 3 ·
Replies
3
Views
2K
  • · Replies 19 ·
Replies
19
Views
3K
  • · Replies 0 ·
Replies
0
Views
3K
Replies
6
Views
2K
  • · Replies 9 ·
Replies
9
Views
2K