Implicit differentiation of many variables

Click For Summary

Homework Help Overview

The discussion revolves around implicit differentiation involving a function z, with participants questioning the correctness of provided partial derivatives and the implicit nature of the function. The subject area includes calculus and multivariable functions.

Discussion Character

  • Exploratory, Assumption checking, Conceptual clarification

Approaches and Questions Raised

  • Participants express confusion regarding the calculation of partial derivatives of z with respect to x and y. Some suggest that the function z may not be given implicitly, proposing an alternative form of z as ln(x^2 + y^2). Others question the validity of this guess and discuss the implications of different forms of z on the differentiation process.

Discussion Status

The discussion is active, with participants exploring different interpretations of the function z and its implications for differentiation. Some guidance has been offered regarding the potential forms of z, but no consensus has been reached on the correct approach or interpretation.

Contextual Notes

There are indications of missing information related to the problem statement, particularly concerning the function z and its implicit nature. Participants are also navigating the complexities of differentiating with multiple variables while considering which variables are held constant.

jonjacson
Messages
450
Reaction score
38

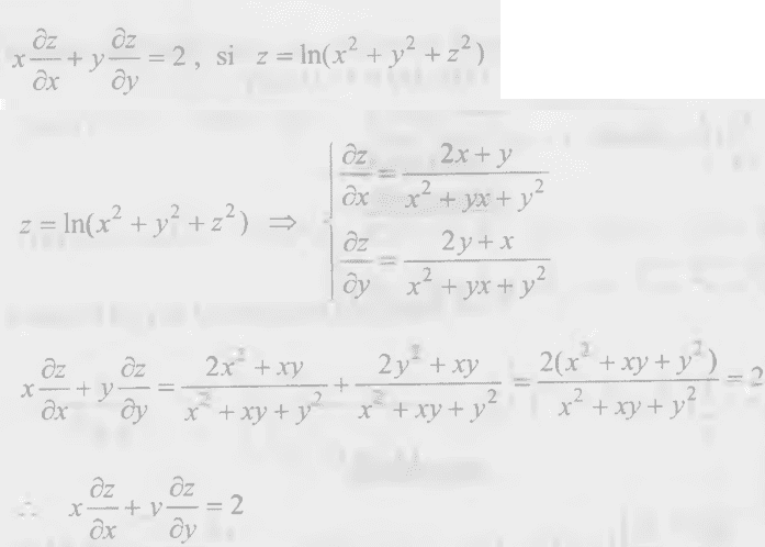
Homework Statement



For the given function z to demonstrate the equality:

10wl0qp.jpg
[/B]As you see I show the solution provided by the book, but I have some questions on this.

I don't understand how the partial derivative of z respect to x or y has been calculated.

Do you think this is correct?

I think this is a giant errata, I guess the function z is not given implicitly and it simply is:

z = ln ( x ^2 + y^2)

The partial derivatives are calculated normally:

∂z/∂x= 2 * x/(x^2 + y^2)

Similar for y, and with this it is straighforward to demonstrate the equality.

What do you think? There are two options:

1.- Or the statement and solution of the given problem is correct---> In that case I don't understand anything. Could you explain how to get the partial derivatives?

2.- Or there is a giant errata, z is not given implicitly and the calculation is easy.

And forgeting this problem I was wondering in case I found an equation with z given implicitly like:

z^2 = x * z + y * z^3

How would we differenciate this equation?

As we have many variables we should choose which are maintained constant and which are changing. Suppose we differenciate this expression considering x is changing, y is constant but z obviously changes, due to the changes in x.

The receipt is changing x for x+dx, z changes to z+dz and y doesn't change at all. I get:

(z+dz)2 - z2 = ( (x+dx) * (z+dz) + y * (z+dz)3 ) - (x * z + y * z3)

After neglecting diferentials of order two and three I get:

dz = dx * (z dx / 2x - x -3 y z^2)

But this differential arose because there was a change on x, so I should call it dzx, then I should do the same calculation for dzy and the total differential of the function z should be:

dz = dzx + dz y

Is this correct?

 
Last edited:
Physics news on Phys.org
jonjacson said:

Homework Statement



For the given function z to demonstrate the equality:

10wl0qp.jpg
[/B]
Is there information missing from the image above, especially in the upper right corner?
 
jonjacson said:

Homework Statement

[/b]
I don't understand how the partial derivative of z respect to x or y has been calculated.

Do you think this is correct?

I think this is a giant errata, I guess the function z is not given implicitly and it simply is:

z = ln ( x ^2 + y^2)

The partial derivatives are calculated normally:

∂z/∂x= 2 * x/(x^2 + y^2)
This result doesn't match what's given in the solution, so why do you think your guess for ##z## is correct?

The solution is definitely wrong for the given ##z##, but your guess is wrong too. It looks like the solution used ##z = \ln (x^2+xy+y^2)##.
 
  • Like
Likes   Reactions: BvU
vela said:
This result doesn't match what's given in the solution, so why do you think your guess for ##z## is correct?

The solution is definitely wrong for the given ##z##, but your guess is wrong too. It looks like the solution used ##z = \ln (x^2+xy+y^2)##.

Thanks for your answer.

But with my guess I find:

∂z/∂x= 2x/(x^2 + y^2)

∂z/∂y= 2y/(x^2 + y^2)

So if I substitute in the equation I get:

x * (2x/(x^2 + y^2)) + y * (2y/(x^2 + y^2)) = 2

In the denominator we have the same functions, so we can simply sum the numerators to get:

(2 x^2 + 2 y^2 )/ (x^2 + y^2) = 2

And this equation is true. What am I doing wrong?

Mark44 said:
Is there information missing from the image above, especially in the upper right corner?

No, there is nothing.
 

Similar threads

  • · Replies 2 ·
Replies
2
Views
1K
  • · Replies 2 ·
Replies
2
Views
2K
  • · Replies 19 ·
Replies
19
Views
2K
Replies
8
Views
2K
  • · Replies 9 ·
Replies
9
Views
3K
Replies
10
Views
2K
  • · Replies 8 ·
Replies
8
Views
2K
  • · Replies 6 ·
Replies
6
Views
3K
  • · Replies 15 ·
Replies
15
Views
2K
Replies
3
Views
2K