Implicit differentiation question with inverse trig

Click For Summary
SUMMARY

The discussion focuses on solving an implicit differentiation problem involving inverse trigonometric functions. Participants emphasize the importance of applying implicit differentiation techniques rather than relying solely on brute force methods. The conversation highlights the need for clear step-by-step work to identify errors in the differentiation process. Key strategies include simplifying expressions under square roots and reformulating the initial equation for clarity.

PREREQUISITES
  • Understanding of implicit differentiation
  • Familiarity with inverse trigonometric functions
  • Ability to simplify algebraic expressions
  • Basic calculus concepts
NEXT STEPS
  • Study the process of implicit differentiation in depth
  • Learn how to simplify expressions involving square roots
  • Explore various techniques for solving equations with inverse trigonometric functions
  • Practice problems involving step-by-step differentiation to identify common mistakes
USEFUL FOR

Students studying calculus, particularly those struggling with implicit differentiation and inverse trigonometric functions, as well as educators seeking to enhance their teaching methods in these areas.

iwantcalculus
Messages
15
Reaction score
1

Homework Statement


UKrn4l2.jpg


Homework Equations



pc2es48.jpg

The Attempt at a Solution



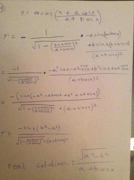
WAsRBOE.jpg

Note: by real solution I mean the correct implicit
derivative, not an actual real solution...
Please help![/B]
 
Last edited:
Physics news on Phys.org
You can expand and simplify the expansion under the square root.
And you were asked to apply implicit differentiation. How would you do it?
Please, type in your work.
 
ehild said:
You can expand and simplify the expansion under the square root.
And you were asked to apply implicit differentiation. How would you do it?
@iwantcalculus, there's the "brute force" way, which is how you are proceeding, and there's a different way that involves implicit differentiation. What's another way to write the equation you're starting with.
ehild said:
Please, type in your work.
Absolutely. Posting an image of your work doesn't let us insert a comment at a particular location where you might have gone wrong.
 

Similar threads

  • · Replies 2 ·
Replies
2
Views
2K
Replies
9
Views
2K
  • · Replies 6 ·
Replies
6
Views
4K
  • · Replies 1 ·
Replies
1
Views
1K
Replies
10
Views
2K
Replies
1
Views
1K
  • · Replies 5 ·
Replies
5
Views
2K
  • · Replies 3 ·
Replies
3
Views
2K
  • · Replies 3 ·
Replies
3
Views
2K
  • · Replies 2 ·
Replies
2
Views
2K