Implicit & explicit dependence derivative sum canonical ense

Click For Summary

Homework Help Overview

The discussion revolves around the concept of implicit and explicit dependence in derivatives, particularly within the context of statistical mechanics and the canonical ensemble. The original poster is examining a relationship involving average energy and most probable energy, questioning how differentiation applies when both types of dependence are present.

Discussion Character

  • Conceptual clarification, Mathematical reasoning, Assumption checking

Approaches and Questions Raised

  • Participants explore the application of the chain rule in the context of derivatives involving implicit and explicit variables. There is confusion regarding the transition from product to sum in differentiation and whether the chain rule is being applied correctly. Some suggest using logarithmic properties to simplify the differentiation process.

Discussion Status

The discussion is ongoing, with participants providing insights and examples to clarify the application of the chain rule. There is no explicit consensus yet, but various interpretations and approaches are being explored, indicating a productive exchange of ideas.

Contextual Notes

Participants note the complexity of the problem due to the interplay between implicit and explicit dependencies, and the specific context of statistical mechanics is emphasized. There are references to specific equations and functions that are central to the discussion, but no definitive resolution has been reached.

binbagsss
Messages
1,291
Reaction score
12

Homework Statement



Hi,

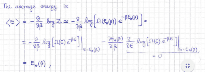
I am trying to follow the working attached which is showing that the average energy is equal to the most probable energy, denoted by ##E*##,

where ##E*## is given by the ##E=E*## such that:

##\frac{\partial}{\partial E} (\Omega (E) e^{-\beta E}) = 0 ##

MY QUESTION: the third equality, i.e. the second line

I have it explained the first term is taking care of the explicit dependence and the second term is taking care of the implicit dependence.

I'm pretty confused, I have never seen an example like this before. The only thing I can see is that if there is implicted and explicit dependene you do the chain rule, getting a product of terms, not a sum. I.e. letting ##f(E(\beta))## denote the function we are taking the deriviate of, I would conclude :

##\frac{\partial}{\partial \beta} f(E(\beta)) = \frac{\partial E}{\partial \beta}\frac{\partial}{\partial E}##...

I have never seen a sum of terms obtained from differentiation of explicit and implicit dependence of some variable.

Can some please expalin and tell me why the chain rule is not correct here? or (Links to any material on this also appreciated, thanks )

context is canonical ensemble, statistical mechanics.

Many thanks in advance.

Homework Equations


see above

The Attempt at a Solution


see above [/B]
 

Attachments

  • sm av energy.png
    sm av energy.png
    40.4 KB · Views: 544
Physics news on Phys.org
binbagsss said:
I.e. letting ##f(E(\beta))## denote the function we are taking the deriviate of, I would conclude :

##\frac{\partial}{\partial \beta} f(E(\beta)) = \frac{\partial E}{\partial \beta}\frac{\partial}{\partial E}##...

Do you mean ##\frac{\partial}{\partial \beta} f(E(\beta)) = \frac{\partial f}{\partial \beta}\frac{\partial E}{\partial \beta}## ?

I have never seen a sum of terms obtained from differentiation of explicit and implicit dependence of some variable.

Perhaps the idea is to apply ## \log(pq) = \log(p) + \log(q) ## before differentiating.
 
binbagsss said:

Homework Statement



Hi,

I am trying to follow the working attached which is showing that the average energy is equal to the most probable energy, denoted by ##E*##,

where ##E*## is given by the ##E=E*## such that:

##\frac{\partial}{\partial E} (\Omega (E) e^{-\beta E}) = 0 ##

MY QUESTION: the third equality, i.e. the second line

I have it explained the first term is taking care of the explicit dependence and the second term is taking care of the implicit dependence.

I'm pretty confused, I have never seen an example like this before. The only thing I can see is that if there is implicted and explicit dependene you do the chain rule, getting a product of terms, not a sum. I.e. letting ##f(E(\beta))## denote the function we are taking the deriviate of, I would conclude :

##\frac{\partial}{\partial \beta} f(E(\beta)) = \frac{\partial E}{\partial \beta}\frac{\partial}{\partial E}##...

I have never seen a sum of terms obtained from differentiation of explicit and implicit dependence of some variable.

Can some please expalin and tell me why the chain rule is not correct here? or (Links to any material on this also appreciated, thanks )

context is canonical ensemble, statistical mechanics.

Many thanks in advance.

Homework Equations


see above

The Attempt at a Solution


see above [/B]
Stephen Tashi said:
Do you mean ##\frac{\partial}{\partial \beta} f(E(\beta)) = \frac{\partial f}{\partial \beta}\frac{\partial E}{\partial \beta}## ?
Perhaps the idea is to apply ## \log(pq) = \log(p) + \log(q) ## before differentiating.

Ive tried the log property.
I get
##\frac{\partial}{\partial\beta}(log(\Omega(E*(\beta))) + \frac{\partial}{\partial\beta}(-\beta E*) ##
##=\frac{\partial}{\partial E}(log (\Omega)\frac{\partial E*(\beta)}{\partial\beta} - E*-\beta\frac{\partial E*}{\partial \beta} ##, So I have the second term, can't see how I am going to get the first term.
 
I think the pattern involves a function of two variables ##w(\beta,E^*)## with the "side condition" that ##E*## is a function of ##\beta##. The chain rule has the form:
##\frac{dw}{d\beta} = \frac{\partial w}{\partial \beta} + \frac{\partial w}{\partial E^*} \frac{\partial E^*}{\partial \beta}##.

It would have been clearer to use the notation ##\frac{d}{d\beta}Z## instead of ##\frac{\partial}{\partial\beta} Z##.To illustrate what I have in mind with a simple example:
Let ##f(g) = g^2## and let ##g(x) = 2x + 1\ ##. Define ##g^*## as the solution to ##\frac{df}{dg} = 0\ ## Then ##g^* = 0##. To get ##g^* = 0##, the only choice for ##x## is ##x = -1/2\ ##. So, ##g^*## is not a function of ##x## (or at least it isn't the same function of ##x## that ##g## is).

Now let's change the definition of ##f## to a function of two variables ##f(g,x) = g^2 - gx^2 ## and keep the definition that ##g(x) = 2x + 1 ##. Let ##g^*## be the solution to ##\frac{\partial f}{\partial g} = 0##.
##\frac{\partial f}{\partial g} = 2g - x^2##. So ##g^* = x^2/2##, making ##g*## a function of ##x## and not the same function of ##x## as ##g(x) = 2x -1 ##.

Now, as an example, define ## w(x) = f(x, g*) = (g^*)^2 + g^*x ##

One interpretation of ##\frac{\partial w}{\partial x}## is "Take the partial derivative of ##W## with respect to the first argument". By that definition ##\frac{\partial w}{\partial x} = g^* ##

Another interpretation of ##\frac{\partial w}{\partial x}## is "Write ##w## explicitly as function of ##x## alone (i.e. ##w(x,g*) = (g^*)^2 + g^*x = (x^2/2)^2 + (x^2/2)x## and then take the derivative with respect to ##x##". A better notation for this concept would be ##\frac {dw}{dx}##, using "##d##" instead of "##\partial##". This could also be done by the chain rule:
##\frac{dw}{dx} = \frac{\partial w}{\partial x} + \frac{\partial w}{\partial g*}\frac{\partial g*}{\partial x} ## where the last term has the meaning given in the earlier paragraph.
 
  • Like
Likes   Reactions: FactChecker
binbagsss said:
Ive tried the log property.
I get
##\frac{\partial}{\partial\beta}(log(\Omega(E*(\beta))) + \frac{\partial}{\partial\beta}(-\beta E*) ##
##=\frac{\partial}{\partial E}(log (\Omega)\frac{\partial E*(\beta)}{\partial\beta} - E*-\beta\frac{\partial E*}{\partial \beta} ##, So I have the second term, can't see how I am going to get the first term.
Stephen Tashi said:
I think the pattern involves a function of two variables ##w(\beta,E^*)## with the "side condition" that ##E*## is a function of ##\beta##. The chain rule has the form:
##\frac{dw}{d\beta} = \frac{\partial w}{\partial \beta} + \frac{\partial w}{\partial E^*} \frac{\partial E^*}{\partial \beta}##.

It would have been clearer to use the notation ##\frac{d}{d\beta}Z## instead of ##\frac{\partial}{\partial\beta} Z##.To illustrate what I have in mind with a simple example:
Let ##f(g) = g^2## and let ##g(x) = 2x + 1\ ##. Define ##g^*## as the solution to ##\frac{df}{dg} = 0\ ## Then ##g^* = 0##. To get ##g^* = 0##, the only choice for ##x## is ##x = -1/2\ ##. So, ##g^*## is not a function of ##x## (or at least it isn't the same function of ##x## that ##g## is).

Now let's change the definition of ##f## to a function of two variables ##f(g,x) = g^2 - gx^2 ## and keep the definition that ##g(x) = 2x + 1 ##. Let ##g^*## be the solution to ##\frac{\partial f}{\partial g} = 0##.
##\frac{\partial f}{\partial g} = 2g - x^2##. So ##g^* = x^2/2##, making ##g*## a function of ##x## and not the same function of ##x## as ##g(x) = 2x -1 ##.

Now, as an example, define ## w(x) = f(x, g*) = (g^*)^2 + g^*x ##

One interpretation of ##\frac{\partial w}{\partial x}## is "Take the partial derivative of ##W## with respect to the first argument". By that definition ##\frac{\partial w}{\partial x} = g^* ##

Another interpretation of ##\frac{\partial w}{\partial x}## is "Write ##w## explicitly as function of ##x## alone (i.e. ##w(x,g*) = (g^*)^2 + g^*x = (x^2/2)^2 + (x^2/2)x## and then take the derivative with respect to ##x##". A better notation for this concept would be ##\frac {dw}{dx}##, using "##d##" instead of "##\partial##". This could also be done by the chain rule:
##\frac{dw}{dx} = \frac{\partial w}{\partial x} + \frac{\partial w}{\partial g*}\frac{\partial g*}{\partial x} ## where the last term has the meaning given in the earlier paragraph.

okay thank you, that has cleared up a few things.
In particular the point that ##g*## is a different function of ##x## then ##g## is.
However I am a little confused with ##f(g,x)## and ##f(g*,x)##, ##f## is the same function of ##g## and ##g*## right? you just replace ##g## with ##g*##? so can you write :

##\frac{dw}{dx} = \frac{\partial w}{\partial x} + \frac{\partial w}{\partial g*}\frac{\partial g*}{\partial x} ## as ##\frac{dw}{dx} = \frac{\partial w}{\partial x} + \frac{\partial w}{\partial g}\frac{\partial g*}{\partial x} ##?
 
binbagsss said:
okay thank you, that has cleared up a few things.
In particular the point that ##g*## is a different function of ##x## then ##g## is.
However I am a little confused with ##f(g,x)## and ##f(g*,x)##, ##f## is the same function of ##g## and ##g*## right? you just replace ##g## with ##g*##? so can you write :

##\frac{dw}{dx} = \frac{\partial w}{\partial x} + \frac{\partial w}{\partial g*}\frac{\partial g*}{\partial x} ## as ##\frac{dw}{dx} = \frac{\partial w}{\partial x} + \frac{\partial w}{\partial g}\frac{\partial g*}{\partial x} ##?

Yes, as a function of its second argument, ##f(x,g^*)## , symbolically defined by an expression using the symbol "##g^*##" as ##f(x,g^*) = (g^*)^2 - g^*x^2## is the same function as ##f## defined using a different symbol like "##y##" and writing ##f(x,y) = y^2 - yx^2##.

Physics uses an ambiguous notation for functions. Notation like ##f(x,g^*) = (g^*)^2 - g^*x^2## can be interpreted two different ways. On the one hand, ##f(x,g^*) =( g^*)^2 - g^* x^2## might denote a function whose domain is pairs of real numbers. However, if we have in mind the "side condition" that ##g^* = x^2/2## then the same notation stands for a different function who domain is the set of real numbers (as opposed to pairs of real numbers).

A forum article on such ambiguity is: https://www.physicsforums.com/insights/partial-differentiation-without-tears/
 

Similar threads

  • · Replies 1 ·
Replies
1
Views
2K
  • · Replies 5 ·
Replies
5
Views
4K
  • · Replies 16 ·
Replies
16
Views
3K
  • · Replies 4 ·
Replies
4
Views
2K
  • · Replies 1 ·
Replies
1
Views
2K
  • · Replies 1 ·
Replies
1
Views
990
  • · Replies 2 ·
Replies
2
Views
1K
  • · Replies 5 ·
Replies
5
Views
2K
  • · Replies 3 ·
Replies
3
Views
2K
Replies
2
Views
2K