Integral Help for Calc II Newbie

  • Thread starter Thread starter mike01
  • Start date Start date
  • Tags Tags
    Integral
Click For Summary

Homework Help Overview

The discussion revolves around evaluating the integral of the function (x+3)/(4x^2-8x+13), with participants exploring techniques related to calculus, specifically integration and completing the square.

Discussion Character

  • Exploratory, Conceptual clarification, Mathematical reasoning

Approaches and Questions Raised

  • Participants discuss completing the square for the denominator and express difficulties in substituting terms in the integral. There are attempts to split the integral into manageable parts, and questions arise regarding the correctness of these approaches and the relationships between variables.

Discussion Status

The conversation includes corrections to initial misunderstandings about the integral's setup. Some participants provide guidance on how to express the numerator in terms of the substitution variable, while others seek clarification on specific steps and relationships between the variables.

Contextual Notes

There is mention of confusion regarding the initial problem setup and the need for accurate expressions when completing the square. Participants are also navigating the complexities of integrating functions that involve arctangent forms.

mike01
Messages
9
Reaction score
0
Integral Help??Newbie

I apoligize in advance I am a newibe to this forum..

Homework Statement



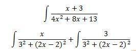
integral [(x+3)/(4x^2-8x+13)]

Homework Equations





The Attempt at a Solution


I am currently studying CalcII we Just got into evaluating integrals by completing the square in the denometer however I cannot get this one to work out. I attempted to evaluate by completing the square I got 9+(2x-2)^2 but I do cannot get a substitution to the X+3dx, I tried to split it into two with the X/ and the 3/ but again get stumped at the 3/. Just looking for a little guidance that’s all. Thanks in advance for everyone’s help.
 
Last edited:
Physics news on Phys.org


Your completing the square on (x^2-8x+13) is wrong for a start. Can you show us how you did that?
 


see attached image where did I mess up??
 

Attachments

  • p.JPG
    p.JPG
    6.2 KB · Views: 395


mike01 said:
see attached image where did I mess up??

Absolutely nothing messed up. You just messed up the initial posting. You left the 4 off of the x^2 in the denominator.
 


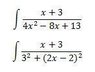
now that I have corrected that (sorry) if I factor and complete the square nothing (that I can see) works out good for the "x+3" so I looked at splitting them the "x/" works out and substitutes well then turns into a du/a^2+u^2 or arctan, however I am not sure how to deal with the other with the "3/"?
 


Thanks for the correction. x+3=(1/2)*(2x-2)+4. Is that the sort of relation you are looking for?
 


Dick, where does the 1/2 come from?? does this seem like the logical next step? (See image). Thanks for all your help.
 

Attachments

  • p2.JPG
    p2.JPG
    4.1 KB · Views: 430


You can't argue with x+3=(1/2)*(2x-2)+4, can you? It's just plain true. I worked it out by multiplying by (1/2) to get the x on the left side and solved for the constant. Now your integral is (1/2)*(2x-2)/(9+(2x-2)^2)+4/(9+(2x-2)^2). The first term is a u substitution and the second term is your arctan.
 


Dick, Thanks for all your help and patientence but if the image attached repsents the original problem, and the problem + factoring / completing the square. Pardon my ignorance maybe I am just not seeing it but where is the (1/2) coming from? maybe it's just late here and I will look at it after a good nights rest. thanks for all your help, I am just trying to understand all this.
 

Attachments

  • pp.JPG
    pp.JPG
    2.9 KB · Views: 362
  • #10


Here's the deal. To do the integrals you'll want to substitute basically u=(2x-2), right? That makes the denominator 3^2+u^2. I want to write the numerator x+3 in terms of u=(2x-2) as well. Solve u=(2x-2) for x. x=(1/2)*(u+2). Substitute that into x+3. (1/2)*(u+2)+3=(1/2)*u+4. That let's you split the integral into two parts. The (1/2)*u/(3^2+u^2) part is a simple sub. The 3/(3^2+u^2) is the arctan like part. See?
 

Similar threads

Replies
2
Views
1K
  • · Replies 10 ·
Replies
10
Views
2K
  • · Replies 3 ·
Replies
3
Views
2K
  • · Replies 2 ·
Replies
2
Views
2K
  • · Replies 11 ·
Replies
11
Views
2K
  • · Replies 9 ·
Replies
9
Views
2K
  • · Replies 7 ·
Replies
7
Views
2K
  • · Replies 5 ·
Replies
5
Views
2K
  • · Replies 16 ·
Replies
16
Views
4K
Replies
12
Views
2K