Integral of Rational Function with Zero Result

  • Context: Graduate 
  • Thread starter Thread starter StatusX
  • Start date Start date
  • Tags Tags
    Integral Zero
Click For Summary

Discussion Overview

The discussion revolves around the evaluation of the integral of a rational function, specifically the expression \(\int_0^\infty \frac{a (x^2 - 1)^2 - 2 x (x + a)^2}{(x + a)^3 (a x + 1)^3} dx\), which some participants claim equals zero for all \(a > 0\). The participants explore various methods of proving this result, questioning the rigor and simplicity of the approaches taken.

Discussion Character

  • Exploratory
  • Technical explanation
  • Debate/contested
  • Mathematical reasoning

Main Points Raised

  • Some participants assert that the integral evaluates to zero but seek a simpler proof than brute force.
  • One participant suggests that the integrand is an exact derivative of a rational function, indicating a potential simplification.
  • Another participant expresses skepticism about the rigor of the proposed methods, citing reliance on hand-waving arguments.
  • Concerns are raised regarding the specific form of the function and how changes to parameters might affect the integral's value.
  • Disagreement exists over the treatment of constants in antiderivatives, with some participants emphasizing the importance of these constants in their evaluations.
  • A method that avoids complex developments is mentioned, but details are not provided in the main discussion.

Areas of Agreement / Disagreement

Participants do not reach a consensus on the methods used to evaluate the integral or the validity of the claims made. There are competing views on the rigor and applicability of the proposed approaches.

Contextual Notes

Participants express uncertainty regarding the assumptions made in their arguments, particularly concerning the treatment of constants in antiderivatives and the specific forms of the functions involved.

StatusX
Homework Helper
Messages
2,570
Reaction score
2
I've just found that, for all a>0:

[tex]\int_0^\infty \frac{a (x^2 - 1)^2 - 2 x (x + a)^2}{(x + a)^3 (a x + 1)^3} dx = 0[/tex]

This can be found by brute force, but there must be a simpler way to show it.
 
Physics news on Phys.org
StatusX said:
I've just found that, for all a>0:

[tex]\int_0^\infty \frac{a (x^2 - 1)^2 - 2 x (x + a)^2}{(x + a)^3 (a x + 1)^3} dx = 0[/tex]

This can be found by brute force, but there must be a simpler way to show it.

How formal does the solution need to be? I have an idea that might work out, but I don't know if it would be exactly what you're looking for.
 
Id be interested to hear any thoughts you have on it.
 
The integrand happens to be an exact derivative of x*P(x)/Q(x) for some P and Q.
 
Read This First: Here are my first thoughts. The biggest problem with this is that it's not rigorous and utilizes a lot of 'hand-waving arguments' (and I'm not positive that this hand-waving is even justified here!). Another problem with it is that it's not really all that simple, so even if it can be justified, I don't think that it's much good as a solution. I think that hamster143 outlined a much better solution too. But with that qualified, here was my first thought about the problem.

Let the function [itex]f[/itex] be defined such that

[tex]f(x) = \frac{a(x^2-1)^2-2x(x+a)^2}{(x+a)^3(ax+1)^3}[/tex]​

Since [itex]f[/itex] is continuous on [itex][0,\infty)[/itex], we can apply the second fundamental theorem of calculus to find that ...

[tex]\int_0^{\infty}f(x)\mathrm{d}x = \lim_{x \to \infty}F(t) - F(0)[/tex]​

where [itex]F[/itex] is an anti-derivative of [itex]f[/itex]. Therefore, we need only find the values of these anti-derivatives. We'll go about this in an indirect way.

To find [itex]F(0)[/itex], first define the function [itex]g[/itex] such that [itex]g(x) = a(x^2-1)^2-2x(x+a)^2[/itex]. Next, note that by choosing [itex]x[/itex] small enough, we can find numbers [itex]h,k > 0[/itex] such that the following inequality holds:

[tex]h[g(x)] \leq f(x) \leq k[g(x)][/tex]​

Since it's easy to verify that [itex]G(0) = 0[/itex] (neglecting the constant) where [itex]G[/itex] is an anti-derivative of [itex]g[/itex], this suggests that the anti-derivative of [itex]f[/itex] at zero is equal to zero. Therefore, [itex]F(0) = 0[/itex].

To evaluate the term [itex]\lim_{x \to \infty}F(t)[/itex], we can note that as [itex]x[/itex] becomes arbitrarily large, [itex]f(x)[/itex] tends to something like [itex]h(x) = x^{-2}[/itex] (because the numerator is a polynomial of degree 4 and the denominator is a polynomial of degree 6). Since [itex]lim_{x \to \infty}H(x) = 0[/itex] (once again, neglecting the constant) where [itex]H[/itex] is an anti-derivative of [itex]h[/itex], this suggests that [itex]\lim_{x \to \infty}F(t) = 0[/itex].

Combining these two results, we find that ...

[tex]\int_0^{\infty}f(x)\mathrm{d}x = 0[/tex]​
 
hamster,

I'm not sure what you mean. Are P(x) and Q(x) supposed to be polynomials? According to mathematica, the indefininte integral contains logs, and is very complicated.

jgens,

I'm not sure I understand exactly what you're saying, but I'm skeptical of your method since you don't seem to be using the specific form of the function I gave. For example, if I changed the (ax+1) in the denominator to (ax+2), the integral would no longer be zero, but I'm not sure your argument would be any different. I think you're neglecting constants when you shouldn't be.
 
StatusX said:
jgens,

I'm not sure I understand exactly what you're saying, but I'm skeptical of your method since you don't seem to be using the specific form of the function I gave. For example, if I changed the (ax+1) in the denominator to (ax+2), the integral would no longer be zero, but I'm not sure your argument would be any different. I think you're neglecting constants when you shouldn't be.

That's very likely. If you read the "Read This First" segment of my post, I acknowledged that.
 
StatusX said:
hamster,

I'm not sure what you mean. Are P(x) and Q(x) supposed to be polynomials? According to mathematica, the indefininte integral contains logs, and is very complicated.

Not according to wolfram alpha ...

http://www.wolframalpha.com/input/?i=\int+\frac{a+%28x^2+-+1%29^2+-+2+x+%28x+%2B+a%29^2}{%28x+%2B+a%29^3+%28a+x+%2B+1%29^3}+dx+
 
jgens said:
Since it's easy to verify that [itex]G(0) = 0[/itex] (neglecting the constant)
"Neglecting" the constant? :confused: You make it sound like there's One True Antiderivative which all others are just modifications of!

Of course, you can choose the constant so that G(0) = 0. And you can choose the corresponding constant so that F(0) = 0.
(it would be easier to choose F(0) directly)


Since [itex]lim_{x \to \infty}H(x) = 0[/itex] (once again, neglecting the constant) where [itex]H[/itex] is an anti-derivative of [itex]h[/itex], this suggests that [itex]\lim_{x \to \infty}F(t) = 0[/itex].
Again with the One True Antiderivative thing. You can certainly choose the constant so that [itex]\lim_{x \to \infty}F(t) = 0[/itex].


Of course, there's no reason those two choices have to be consistent. :frown:
 
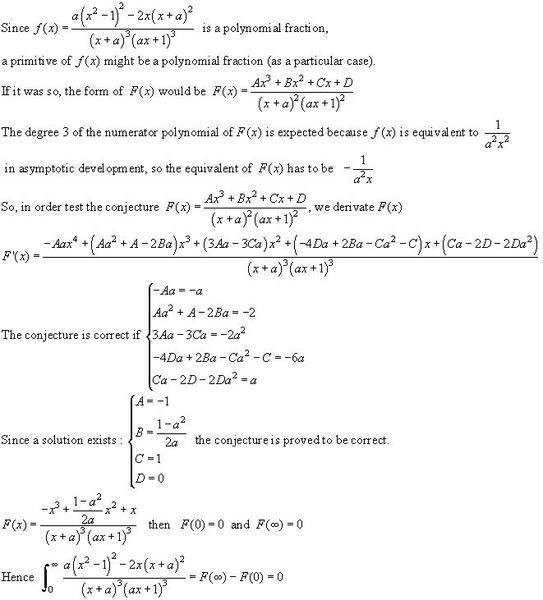
  • #10
A method which doesn't require heavy developments is given in attachment.

( Typo in the attachment : remplace equation -Aa=-a by -Aa=a )
 

Attachments

  • Definite Integral.JPG
    Definite Integral.JPG
    38 KB · Views: 590
Last edited:

Similar threads

  • · Replies 3 ·
Replies
3
Views
3K
  • · Replies 27 ·
Replies
27
Views
3K
  • · Replies 1 ·
Replies
1
Views
3K
  • · Replies 2 ·
Replies
2
Views
2K
  • · Replies 20 ·
Replies
20
Views
4K
  • · Replies 14 ·
Replies
14
Views
4K
  • · Replies 19 ·
Replies
19
Views
5K
  • · Replies 2 ·
Replies
2
Views
3K
  • · Replies 6 ·
Replies
6
Views
3K
  • · Replies 8 ·
Replies
8
Views
3K