Integrating Biot-Savart Law at a point

Click For Summary

Homework Help Overview

The discussion revolves around the integration of the Biot-Savart Law, specifically addressing the treatment of limits of integration when calculating the magnetic field at a point. Participants are exploring the implications of integrating along a wire versus integrating over a magnetic field.

Discussion Character

  • Conceptual clarification, Assumption checking

Approaches and Questions Raised

  • Participants question why limits of integration are not included in the left-hand side of the Biot-Savart Law equation. Some express confusion about the nature of the integration process and whether it can involve limits for a vector quantity.

Discussion Status

The conversation is ongoing, with various interpretations being explored. Some participants have provided clarifications about the vector nature of the magnetic field and the summation of contributions, while others are seeking to understand the physical meaning behind the absence of limits of integration.

Contextual Notes

There is mention of a lack of formal instruction in multivariate or vector calculus among some participants, which may influence their understanding of the integration process in this context.

member 731016
Homework Statement
Please see below
Relevant Equations
Please see below
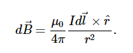
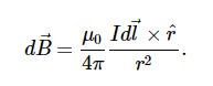
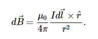
Why when you integrate the Biot-Savart Law do we not include limits of integration on the left-hand side of the equation (for the differential magnetic field)?
1670958482306.png


Would the lower limit be 0 and the upper limit be B? How would you tell?

Many thanks!
 

Attachments

  • 1670958422503.png
    1670958422503.png
    1.4 KB · Views: 142
Physics news on Phys.org
You are integrating along the wire, not over a magnetic field.
 
  • Like
Likes   Reactions: member 731016
The vector sum of all elements ##d\vec B## is, by definition, ##\vec B##. The symbolic form ##\int \! d\vec B## in plain English says "add vectorially all contributions to the magnetic field at a given point." When you do that, you get (what else?) the total field at that point which is denoted by ##\vec B##.

We've been through this before with the meaning of ##\int \! dQ## in the case of a charged ring. Think of integration as a summation where a representative piece of what you are adding is the integrand.
 
  • Like
Likes   Reactions: member 731016
Orodruin said:
You are integrating along the wire, not over a magnetic field.
Thanks for your reply @Orodruin ! Sorry what do you mean that we are no integrating over the magnetic field?

Many thanks!
 
kuruman said:
The vector sum of all elements ##d\vec B## is, by definition, ##\vec B##. The symbolic form ##\int \! d\vec B## in plain English says "add vectorially all contributions to the magnetic field at a given point." When you do that, you get (what else?) the total field at that point which is denoted by ##\vec B##.

We've been through this before with the meaning of ##\int \! dQ## in the case of a charged ring. Think of integration as a summation where a representative piece of what you are adding is the integrand.
Thanks for your reply @kuruman ! I understand what you are saying about that the integral is the sum of each magnetic field vector. However, is it possible to have a limits of integration for the left-hand side. It appears if use the lower limit of integration to be B and the upper limit to be zero I get their correct left-hand side.

Many thanks!
 
Callumnc1 said:
However, is it possible to have a limits of integration for the left-hand side. It appears if use the lower limit of integration to be B and the upper limit to be zero I get their correct left-hand side.
I don't know what you mean about the correct left-hand side using upper and lower limits. ##\vec B## is a vector, not a function of some variable that has values over an interval.

A statement in English (no symbols)
When I add (superimpose) all magnetic field contributions at a given point in space from various segments of the wire, I get a vector that is the same as the total magnetic field at that point.

The same statement in mathematese (no English)
##\int d\vec B=\vec B.##
 
  • Like
Likes   Reactions: member 731016
kuruman said:
I don't know what you mean about the correct left-hand side using upper and lower limits. ##\vec B## is a vector, not a function of some variable that has values over an interval.

A statement in English (no symbols)
When I add (superimpose) all magnetic field contributions at a given point in space from various segments of the wire, I get a vector that is the same as the total magnetic field at that point.

The same statement in mathematese (no English)
##\int d\vec B=\vec B.##
Thanks for your reply @kuruman ! Are you saying that we cannot have limits of integration like
1670986269724.png
even though it gives the correct result?

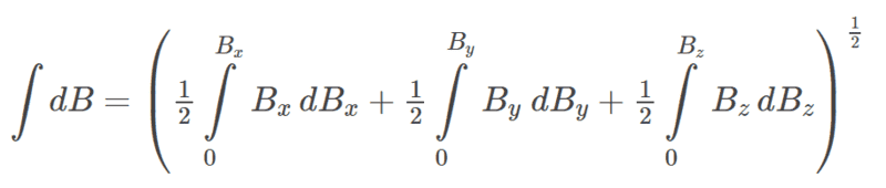
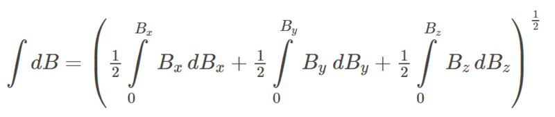
Why would we not be able to have limits of integration for a vector? Do we have to split it up into sperate integrals then combine, for example:
1670987258005.png

1670986970723.png

(Where B is the magnetic field vector)

Many thanks,
Callum
 

Attachments

  • 1670986904298.png
    1670986904298.png
    7.4 KB · Views: 171
No, no, no. You cannot convert a vector into a scalar.

##d\vec B## is a vector and has three components.
##d\vec B=dB_x~\mathbf{\hat x} +dB_y~\mathbf{\hat y}+dB_z~\mathbf{\hat z}~## and
##\int d\vec B=\int dB_x~\mathbf{\hat x} +\int dB_y~\mathbf{\hat y}+\int dB_z~\mathbf{\hat z}.##

That's how you add vectors, isn't it? How much formal instruction in calculus have you had?
 
  • Like
Likes   Reactions: member 731016
kuruman said:
No, no, no. You cannot convert a vector into a scalar.

##d\vec B## is a vector and has three components.
##d\vec B=dB_x~\mathbf{\hat x} +dB_y~\mathbf{\hat y}+dB_z~\mathbf{\hat z}~## and
##\int d\vec B=\int dB_x~\mathbf{\hat x} +\int dB_y~\mathbf{\hat y}+\int dB_z~\mathbf{\hat z}.##

That's how you add vectors, isn't it? How much formal instruction in calculus have you had?
Thanks for your reply @kuruman ! Not too much, I have not done multivariate or vector calculus.

Do you please know why I can't convert the vector into a scalar?

Kind regards,
Callum
 
  • #10
Callumnc1 said:
Thanks for your reply @kuruman ! Not too much, I have not done multivariate calculus.

Kind regards,
Callum
Then I recommend that you take it at your earliest opportunity. It will pull things together for you.
 
  • Like
Likes   Reactions: member 731016
  • #11
kuruman said:
##d\vec B## is a vector and has three components.
##d\vec B=dB_x~\mathbf{\hat x} +dB_y~\mathbf{\hat y}+dB_z~\mathbf{\hat z}~## and
##\int d\vec B=\int dB_x~\mathbf{\hat x} +\int dB_y~\mathbf{\hat y}+\int dB_z~\mathbf{\hat z}.##
Thanks for your help @kuruman ! Why are there no limits of integration for each integral component of the magnetic field vector?

Many thanks,
Callum
 
  • #12
kuruman said:
Then I recommend that you take it at your earliest opportunity. It will pull things together for you.
Ok thank you @kuruman, I might be able to take a course later next year.
 
  • #13
kuruman said:
Then I recommend that you take it at your earliest opportunity. It will pull things together for you.
Hi @kuruman,

I looked into some vector calculus about integrating vector valued functions. I read that the integral of a vector valued function (the magnetic field vector in this case) is the integral of each component. however, now I would like to understand why there are no limits of integration for the RHS (
1671053497645.png
).

I decided to add some and found that the limits below seem to work:
1671053654195.png


The textbook I'm using makes no mention why they did not include limits of integration and no mention of vector calculus. I guess the reason why they may not have included limits of integration is because they are summing all the small magnetic fields dB, but I would like to know the physical meaning of the limits of integration in this case.

Many thanks,
Callum
 
Last edited by a moderator:
  • #14
That it gives the correct result does not mean that it ”works”. Even if you insert boundaries like that it is meaningless as you do not know hat the components are. The integration domain is subtextual and universally understood to be the sum over all contributions to the magnetic field. You are looking for a particular further meaning where there is none.
 
  • Like
Likes   Reactions: member 731016
  • #15
Orodruin said:
That it gives the correct result does not mean that it ”works”. Even if you insert boundaries like that it is meaningless as you do not know what the components are. The integration domain is subtextual and universally understood to be the sum over all contributions to the magnetic field. You are looking for a particular further meaning where there is none.
Ok thank you @Orodruin !
 
  • #16
Callumnc1 said:
Hi @kuruman,

I looked into some vector calculus about integrating vector valued functions. I read that the integral of a vector valued function (the magnetic field vector in this case) is the integral of each component. however, now I would like to understand why there are no limits of integration for the RHS (View attachment 318817).

I decided to add some and found that the limits below seem to work:
View attachment 318818

The textbook I'm using makes no mention why they did not include limits of integration and no mention of vector calculus. I guess the reason why they may not have included limits of integration is because they are summing all the small magnetic fields dB, but I would like to know the physical meaning of the limits of integration in this case.

Many thanks,
Callum
You are asking me for the physical meaning of the upper and lower limits to the integrals ##\int dB_x##, etc. I think I answered that in post #6. Let me first solve a simple problem where upper and lower have physical meaning.

A car is moving at constant acceleration ##a=4.0~##m/s2. At ##t=3.0~##s its velocity is ##-2.0~## m/s. Find its velocity at ##t=5.0~##s.

You can solve this in your head. If the velocity of the car increases by ##4.0## m/s for every second that goes by, then from ##3.0## s to ##5.0## seconds, it will increase by ##8.0## m/s and will be ##-2+8=6~##m/s.

But the point is not to get the right answer but to illustrate the physical meaning of limits of integration. We start with the basic equation ##dv=a~dt## and integrate both sides. What limits of integration should we choose? Note that
(a) on the LHS we have dimensions of velocity and on the RHS we have dimensions of time.
(b) the lower and upper limits in the velocity must match the lower and upper limits in the time interval
(c) the upper limit that corresponds to the velocity at time ##t=5.0## s is unknown so we call it ##v.##

Integrating both sides, we write $$\begin{align} & \int_{-2.0~\text{m/s}}^v dv=\int_{3.0~\text{s}}^{5.0~\text{s}}4~(\text{m}/\text{s}^2)dt \nonumber \\
& v-(-2.0~\text{m/s})=4~(\text{m}/\text{s}^2)(5.0~\text{s}-3.0~\text{s}) \nonumber \\
& v+2.0~\text{m/s}=20.0~\text{m/s}-12.0~\text{m/s} \nonumber \\
& v=6.0~\text{m/s}. \nonumber
\end{align}$$Do you see the physical significance of the upper and lower limits and how they are arranged to match on the two sides? I chose non-zero lower limits to indicate to you that the lower limits is not zero unless there is a physical reason to be so.

The only physical meaning that the lower and upper limits of ##0## and ##B_x## that I can see is that zero is what you have for the sum before you start adding the x-components and ##B_x## is what you end up with when you're done adding. However, that is true for any sum regardless of what's on the RHS.

I have nothing more to say on this. If you still have questions, perhaps someone else will be able to answer them better than me.
 
  • Like
Likes   Reactions: member 731016
  • #17
kuruman said:
You are asking me for the physical meaning of the upper and lower limits to the integrals ##\int dB_x##, etc. I think I answered that in post #6. Let me first solve a simple problem where upper and lower have physical meaning.

A car is moving at constant acceleration ##a=4.0~##m/s2. At ##t=3.0~##s its velocity is ##-2.0~## m/s. Find its velocity at ##t=5.0~##s.

You can solve this in your head. If the velocity of the car increases by ##4.0## m/s for every second that goes by, then from ##3.0## s to ##5.0## seconds, it will increase by ##8.0## m/s and will be ##-2+8=6~##m/s.

But the point is not to get the right answer but to illustrate the physical meaning of limits of integration. We start with the basic equation ##dv=a~dt## and integrate both sides. What limits of integration should we choose? Note that
(a) on the LHS we have dimensions of velocity and on the RHS we have dimensions of time.
(b) the lower and upper limits in the velocity must match the lower and upper limits in the time interval
(c) the upper limit that corresponds to the velocity at time ##t=5.0## s is unknown so we call it ##v.##

Integrating both sides, we write $$\begin{align} & \int_{-2.0~\text{m/s}}^v dv=\int_{3.0~\text{s}}^{5.0~\text{s}}4~(\text{m}/\text{s}^2)dt \nonumber \\
& v-(-2.0~\text{m/s})=4~(\text{m}/\text{s}^2)(5.0~\text{s}-3.0~\text{s}) \nonumber \\
& v+2.0~\text{m/s}=20.0~\text{m/s}-12.0~\text{m/s} \nonumber \\
& v=6.0~\text{m/s}. \nonumber
\end{align}$$Do you see the physical significance of the upper and lower limits and how they are arranged to match on the two sides? I chose non-zero lower limits to indicate to you that the lower limits is not zero unless there is a physical reason to be so.

The only physical meaning that the lower and upper limits of ##0## and ##B_x## that I can see is that zero is what you have for the sum before you start adding the x-components and ##B_x## is what you end up with when you're done adding. However, that is true for any sum regardless of what's on the RHS.

I have nothing more to say on this. If you still have questions, perhaps someone else will be able to answer them better than me.
Thanks for your help @kuruman ! I think you are making sense about the physical meaning you described:
1671060215155.png


To me that makes sense since when you are starting summing x-component then there will be no component initially however, eventually across the wire the x-components will sum to the resultant x-component of the magnetic field which is
1671060454192.png
.

However, I tried to have a look graphically but was not too sure what to put on the y-axis.

1671060803736.png

Many thanks,
Callum
 
  • #18
Callumnc1 said:
However, I tried to have a look graphically but was not too sure what to put on the y-axis
You are not sure because there is nothing that can go on the y-axis. I explained the principle at work several times before but you don't seem to get it. I will try one last time with an analogy and that will be it for me.

Consider a whole Genoa salami that is ##x=50~##cm long. Cut it up into ##N## pieces so that their thicknesses are ##dx_1,~dx_2,~dx_3,~\dots dx_N##.

Question: What do you get when you put the pieces back together again?
Answer: You get a Genoa salami that is 50 cm long.
Question: If each slice were subdivided into many more pieces, would the answer above change?
Answer: No.

Followup questions
Question 2: What about if you do the same to a stick of pepperoni that is ##x=60~##cm long?
Answer 2: You get a stick of pepperoni that is 60 cm long and the number of slices doesn't matter.

Question 3: What about if you do the same to a board of wood that is ##x=6~##ft long?
Answer 3: You get a board of wood that is 6 ft long and the number of slices doesn't matter.

Question 4: What about if you do the same to a magnetic field component that is ##B_x~##Tesla long?
Answer 4: You get a ________ that is _____ Tesla long and the number of slices doesn't matter.
(Fill in the blanks)

What conclusions do you draw from all this?

N.B. The same principle would also work with Humpty Dumpty if only all the king's horses and all the king's men could put him back together again.

Ta ta from this thread.
 
  • Like
Likes   Reactions: member 731016
  • #19
kuruman said:
You are not sure because there is nothing that can go on the y-axis. I explained the principle at work several times before but you don't seem to get it. I will try one last time with an analogy and that will be it for me.

Consider a whole Genoa salami that is ##x=50~##cm long. Cut it up into ##N## pieces so that their thicknesses are ##dx_1,~dx_2,~dx_3,~\dots dx_N##.

Question: What do you get when you put the pieces back together again?
Answer: You get a Genoa salami that is 50 cm long.
Question: If each slice were subdivided into many more pieces, would the answer above change?
Answer: No.

Followup questions
Question 2: What about if you do the same to a stick of pepperoni that is ##x=60~##cm long?
Answer 2: You get a stick of pepperoni that is 60 cm long and the number of slices doesn't matter.

Question 3: What about if you do the same to a board of wood that is ##x=6~##ft long?
Answer 3: You get a board of wood that is 6 ft long and the number of slices doesn't matter.

Question 4: What about if you do the same to a magnetic field component that is ##B_x~##Tesla long?
Answer 4: You get a ________ that is _____ Tesla long and the number of slices doesn't matter.
(Fill in the blanks)

What conclusions do you draw from all this?

N.B. The same principle would also work with Humpty Dumpty if only all the king's horses and all the king's men could put him back together again.

Ta ta from this thread.
Again thanks you very much for your help @kuruman !

You get a magnetic field component that is Bx Tesla long and the number of slices doesn't matter. The conclusion I draw from this is that it does not matter how many times you slice an object into pieces, if you put it back together it will be the same object.

I guess if there is nothing on the y-axis then there is no area under the graph since each slice would be dB x 0 = 0.

Thank you!
 

Similar threads

  • · Replies 9 ·
Replies
9
Views
3K
  • · Replies 4 ·
Replies
4
Views
2K
Replies
18
Views
3K
Replies
1
Views
1K
  • · Replies 17 ·
Replies
17
Views
3K
  • · Replies 15 ·
Replies
15
Views
2K
Replies
3
Views
4K
  • · Replies 4 ·
Replies
4
Views
2K
Replies
3
Views
3K
  • · Replies 2 ·
Replies
2
Views
4K