Integrating by an other variable

  • Context: MHB 
  • Thread starter Thread starter evinda
  • Start date Start date
  • Tags Tags
    Integrating Variable
Click For Summary
SUMMARY

The discussion centers on the integration of a function \( u \) and its derivative \( Du \) over multiple dimensions, specifically addressing the inequality involving integrals of \( |u|^{\frac{n}{n-1}} \) and \( |Du| \). The participants clarify that the product in the inequality must start from \( i=1 \) and not from \( i=3 \), as all variables in the domain must be included. The conclusion emphasizes that the equality \( \int_{-\infty}^{+\infty} \int_{-\infty}^{+\infty} |Du| dx_1 dy_2 \neq \left( \int_{-\infty}^{+\infty}|Du| dy_1 \right)\left( \int_{-\infty}^{+\infty}|Du| dy_2 \right) \) holds true.

PREREQUISITES
  • Understanding of multivariable calculus
  • Familiarity with Lebesgue integration
  • Knowledge of functional analysis concepts
  • Proficiency in handling inequalities in mathematical proofs
NEXT STEPS
  • Study Lebesgue integration and its properties
  • Explore inequalities in functional analysis, particularly the Minkowski inequality
  • Learn about the properties of derivatives in higher dimensions
  • Investigate the implications of integrating over entire domains in multivariable calculus
USEFUL FOR

Mathematicians, students of advanced calculus, and researchers in functional analysis who are working with multivariable integrals and inequalities.

evinda
Gold Member
MHB
Messages
3,741
Reaction score
0
Hello! (Wave)

I am looking at a proof where we have:

$$\int_{-\infty}^{+\infty} |u|^{\frac{n}{n-1}} dx_1 \leq \left( \int_{-\infty}^{+\infty} |Du| dy_1 \right)^{\frac{1}{n-1}} \left( \prod_{i=2}^n \int_{-\infty}^{+\infty} \int_{-\infty}^{+\infty} |Du| dx_1 dy_i\right)^{\frac{1}{n-1}}$$

Integrating with respect to $x_2$ , I get the following:

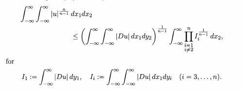
$ \int_{-\infty}^{+\infty} \int_{-\infty}^{+\infty} |u|^{\frac{n}{n-1}} dx_1 dx_2 \leq \left( \int_{-\infty}^{+\infty} |Du| dy_1\right)^{\frac{1}{n-1}} \left( \int_{-\infty}^{+\infty} |Du| dy_2\right)^{\frac{1}{n-1}} \int_{-\infty}^{+\infty} \left( \prod_{i=3}^n \int_{-\infty}^{+\infty} \left( \int_{-\infty}^{+\infty} |Du| dy_i\right) dx_1\right)^{\frac{1}{n-1}} dx_3 $.But according to my notes, we get this:View attachment 5618But it doesn't hold that $ \int_{-\infty}^{+\infty} \int_{-\infty}^{+\infty} |Du| dx_1 dy_2 = \left( \int_{-\infty}^{+\infty}|Du| dy_1 \right)\left( \int_{-\infty}^{+\infty}|Du| dy_2 \right)$.

Does it ?

Why does the product begin from $1$ and not from $3$? Do we just bound the product I got by the product starting from $1$?
 

Attachments

  • res.JPG
    res.JPG
    8.4 KB · Views: 118
Physics news on Phys.org
No, it does not hold that $\int_{-\infty}^{+\infty} \int_{-\infty}^{+\infty} |Du| dx_1 dy_2 = \left( \int_{-\infty}^{+\infty}|Du| dy_1 \right)\left( \int_{-\infty}^{+\infty}|Du| dy_2 \right)$. The product begins from $1$ because the integral is taken over the entire domain, so all variables must be included in the product. Therefore, the product should start from $i=1$ and end at $i=n$.
 

Similar threads

  • · Replies 2 ·
Replies
2
Views
3K
  • · Replies 29 ·
Replies
29
Views
4K
  • · Replies 1 ·
Replies
1
Views
2K
  • · Replies 2 ·
Replies
2
Views
2K
  • · Replies 2 ·
Replies
2
Views
3K
  • · Replies 11 ·
Replies
11
Views
2K
  • · Replies 4 ·
Replies
4
Views
2K
  • · Replies 4 ·
Replies
4
Views
3K
  • · Replies 4 ·
Replies
4
Views
5K
  • · Replies 1 ·
Replies
1
Views
2K