Intro to Quantum Mechanics - Formalism normalisation

Click For Summary

Homework Help Overview

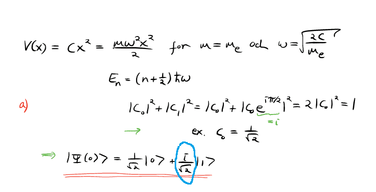
The discussion revolves around the normalization of coefficients in quantum mechanics, specifically focusing on the complex number involved in the normalization process.

Discussion Character

  • Conceptual clarification, Assumption checking

Approaches and Questions Raised

  • Participants explore the origin of the complex number in the normalization of c1, questioning why it appears and how it relates to the given equations. There is also a discussion about the implications of the relationship between c1 and c0.

Discussion Status

Some participants have provided insights into the relationship between c1 and c0, suggesting that the presence of the complex number is tied to this relationship. Others are clarifying their understanding of the exponential form and its connection to the complex number.

Contextual Notes

There are indications that some information may be missing from the original problem, which could affect the understanding of the normalization process.

Graham87
Messages
72
Reaction score
16
Homework Statement
See pic
Relevant Equations
See pic
I can't figure out how they get i/sqrt(2) for normalisation of c1. Why is it a complex number? If I normalise c1 I just get 1/sqrt(2) because i disappears in the absolute value squared.

Thanks

1.png
 
Physics news on Phys.org
It looks like you left out other information from the problem, but apparently, there was the relation ##c_1 = i c_0##. That's where the ##i## comes from. Note that you had to have this relationship to solve for ##c_0##
otherwise you'd have two unknowns but only one equation.
 
  • Like
Likes   Reactions: topsquark and Graham87
vela said:
It looks like you left out other information from the problem, but apparently, there was the relation ##c_1 = i c_0##. That's where the ##i## comes from. Note that you had to have this relationship to solve for ##c_0##
otherwise you'd have two unknowns but only one equation.

There was this relation:

1.png


Aha, so the exponential is also interpreted as i then. Thanks, got it!
 
##e^{i\pi/2}= \cos (\pi/2) + i \sin(\pi/2) = i##
##e^{iv}= \cos (v) + i \sin(v) ##
 
  • Like
Likes   Reactions: SammyS, topsquark and Graham87

Similar threads

Replies
46
Views
3K
  • · Replies 2 ·
Replies
2
Views
2K
  • · Replies 7 ·
Replies
7
Views
3K
  • · Replies 8 ·
Replies
8
Views
1K
  • · Replies 1 ·
Replies
1
Views
4K
  • · Replies 22 ·
Replies
22
Views
3K
  • · Replies 1 ·
Replies
1
Views
2K
  • · Replies 10 ·
Replies
10
Views
1K
Replies
4
Views
2K
  • · Replies 6 ·
Replies
6
Views
2K