Inverse Discrete Laplace Transform

Click For Summary

Discussion Overview

The discussion revolves around the concept of modifying the Discrete Fourier Transform (DFT) by introducing an additional variable, sigma, to explore its implications on the impulse response of a system. Participants examine the relationship between various transforms, including the Laplace transform, Fourier transform, and their discrete counterparts, while questioning the validity and novelty of the proposed approach.

Discussion Character

  • Exploratory, Technical explanation, Debate/contested

Main Points Raised

  • One participant proposes modifying the DFT by adding an exp(-sigma*n/N) term and iterating over a range of sigmas to analyze the impulse response of a system.
  • Another participant questions the novelty of this approach, suggesting it is merely a continuation of existing transforms into the complex plane.
  • A later reply clarifies that the proposed method resembles the z-transform rather than establishing a direct relationship between the DFT and the Laplace transform.
  • There is a discussion about the differences between the DFT and the Discrete Time Fourier Transform (DTFT), emphasizing that the DTFT is not the same as the DFT.

Areas of Agreement / Disagreement

Participants express differing views on the originality and implications of the proposed modification to the DFT. While some acknowledge the relationship to established transforms, others challenge the reasoning behind the approach, indicating that the discussion remains unresolved.

Contextual Notes

The discussion highlights potential misunderstandings regarding the relationships between various transforms, including the need for clarity on definitions and the distinctions between the DFT and DTFT. There are also unresolved aspects regarding the expected outcomes of the proposed method.

Who May Find This Useful

Readers interested in signal processing, control systems, and the mathematical foundations of transforms may find this discussion relevant.

swraman
Messages
165
Reaction score
0
Hi,

I have an idea which when tested looks like its clearly flawed. I am hoping someone can tell me where my procedure is flawed, or point me to some other theory that has already done something similar.

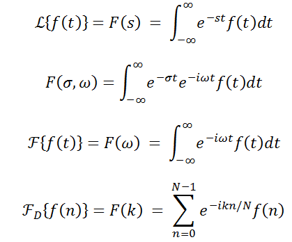
laplace_fourier.png
The first two are the laplace transform.
The third line is the Fourier Transform.
The last line is the Discrete Fourier transform.

Im looking at lines 2 and 4 (along with how 3 - the Fourier transform is related to 4). Is there anything stopping me from modifying the Discrete Fourier transform by adding in an extra variable sigma to the loop - an exp(-sigma*n/N) term - and iterating over a range of sigmas. That is, each Sigma would result in one "DFT".

If I do this process with an input time function h(t) equal to the impulse response of a system - that is compute the "DFT" over a range of sigma's. Then, if I place each of these "DFT"s together into a surface plot, should it not look like the transfer function plot of the system (represented by impulse response h(t) )?

I would expect to see the magnitude of the "DFT"s to spike to infinity at the value of sigma and omega representing the poles of the system whose impulse response is h(t). I used a simple 2-DOF system to generate an impulse response, then ran this process across a range of sigmas (my natural frequency was well within my sampling parameters' capability). But as I said, the result doesn't look like I expected..

Is there something incorrect with my thinking here?

Thanks
 
Last edited:
Physics news on Phys.org
Why would you do 2 and what do you think is new about it? It is just the continuation of the Laplace (or Fourier) transform to the complex plane...
 
I just added eqn (2) to show how similar the Laplace transform is to the Fourier transform (which has a well defined Discrete cousin in the DFT). I know there's nothing new about it.

The thinking was: If (4) is the discretized version of (3), why can we not generate another function that is a discretized version of (2) by adding in the extra exponential decay term into (4)?
 
Last edited:
What you have described is called the z-transform. But it does not parallel the Continuous Time Fourier Transform (CTFT) to Discrete Fourier Transform (DFT) relationship exactly. The DFT maps between two discrete domains corresponding to sampling of f(t) and F(ω). If one were to take the Discrete Time Fourier Transform (DTFT - note this is NOT the DFT!) which is a mapping of the sampled f(t) in the ω domain and then generalize it you would in fact have the Z-transform.
 
Last edited:

Similar threads

  • · Replies 1 ·
Replies
1
Views
4K
  • · Replies 5 ·
Replies
5
Views
5K
  • · Replies 7 ·
Replies
7
Views
3K
  • · Replies 4 ·
Replies
4
Views
2K
  • · Replies 4 ·
Replies
4
Views
4K
  • · Replies 5 ·
Replies
5
Views
3K
  • · Replies 1 ·
Replies
1
Views
4K
  • · Replies 2 ·
Replies
2
Views
4K
  • · Replies 8 ·
Replies
8
Views
4K
  • · Replies 2 ·
Replies
2
Views
2K