Is My Approach to Finding Absolute Magnitude Correct?

  • Thread starter Thread starter shanepitts
  • Start date Start date
  • Tags Tags
    Absolute Magnitude
Click For Summary

Homework Help Overview

The discussion revolves around the calculation of absolute magnitude in astrophysics, specifically using the equations related to apparent and absolute magnitudes. Participants are examining the correctness of an approach to solving a problem involving these equations.

Discussion Character

  • Exploratory, Assumption checking, Mathematical reasoning

Approaches and Questions Raised

  • Participants are questioning the validity of the equations used, particularly a change in a factor within the logarithmic expression. There are attempts to clarify the correct formulation of the equations and the implications of any mistakes made in the calculations.

Discussion Status

Some participants have provided feedback on the original poster's equations and calculations, pointing out potential errors and confirming the overall approach. There is an ongoing exploration of the implications of these corrections, but no consensus has been reached on the final solution.

Contextual Notes

There are mentions of specific values and comparisons to the Sun's absolute magnitude, indicating that the problem may involve specific numerical inputs and assumptions about luminosity. The discussion reflects a learning process with corrections and clarifications being made along the way.

shanepitts
Messages
84
Reaction score
1

Homework Statement


1.2.png
[/B]

Homework Equations


m1-m2[/SB]=2.5log(ι21)

m-M=2.5log (d/10)2

3. The Attempt at a Solution
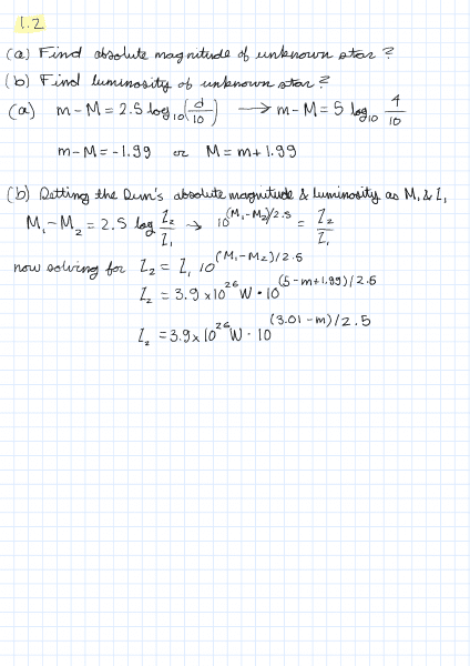
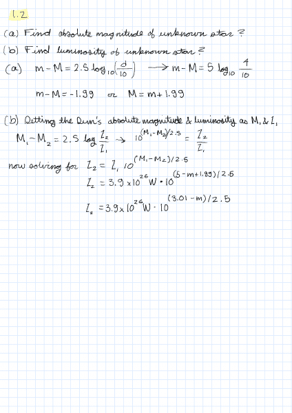
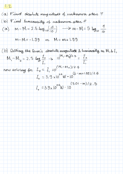
1.2 answer.png


Not sure if my approach and answers are correct

Please help
 
Physics news on Phys.org
shanepitts said:

Homework Statement


View attachment 83971 [/B]

Homework Equations


m1-m2[/SB]=2.5log(ι21)

m-M=2.5log (d/10)2

3. The Attempt at a Solution
View attachment 83972

Not sure if my approach and answers are correct

Please help
First question: In your very first line with an equation, you changed the factor of 2.5 to a factor of 5 in front of the log. Why did you do this? This seems to be a mistake.
 
  • Like
Likes   Reactions: shanepitts
nrqed said:
First question: In your very first line with an equation, you changed the factor of 2.5 to a factor of 5 in front of the log. Why did you do this? This seems to be a mistake.

I forgot the exponential: m-M=2.5log(d/10)2
 
shanepitts said:
I forgot the exponential: m-M=2.5log(d/10)2
AH yes, Ok.

EDIT: you seem to have made a sign mistake. In the exponential for the calculation of the luminosity, you should have

M_1 - M_2 = M_1 - ( m +1.99) = 5 -m - 1.99


Then your work looks good. You just need to plug in the value of m=2. The absolute magnitude of the star is smaller than the Sun's absolute magnitude (3.99 versus 5) so the star has a larger luminosity than the Sun's and your final expression agrees with this. All the steps look good.
 
  • Like
Likes   Reactions: shanepitts
nrqed said:
AH yes, Ok.

EDIT: you seem to have made a sign mistake. In the exponential for the calculation of the luminosity, you should have

M_1 - M_2 = M_1 - ( m +1.99) = 5 -m - 1.99Then your work looks good. You just need to plug in the value of m=2. The absolute magnitude of the star is smaller than the Sun's absolute magnitude (3.99 versus 5) so the star has a larger luminosity than the Sun's and your final expression agrees with this. All the steps look good.

Thanks a bunch and sorry for the typo
 
shanepitts said:
Thanks a bunch and sorry for the typo
You are welcome. And no problem about the typo, I make typos all the time :-)

Patrick
 
Last edited:

Similar threads

Replies
4
Views
2K
  • · Replies 6 ·
Replies
6
Views
2K
  • · Replies 1 ·
Replies
1
Views
5K
  • · Replies 3 ·
Replies
3
Views
3K
Replies
6
Views
3K
  • · Replies 1 ·
Replies
1
Views
1K
Replies
4
Views
2K
  • · Replies 1 ·
Replies
1
Views
1K
  • · Replies 19 ·
Replies
19
Views
1K
  • · Replies 1 ·
Replies
1
Views
4K