Is the Period of Centripetal Motion Proportional to the Radius?

  • Thread starter Thread starter lord_blurg
  • Start date Start date
  • Tags Tags
    Centripetal Motion
Click For Summary

Homework Help Overview

The discussion revolves around the relationship between the period of centripetal motion and the radius of the circular path. Participants are exploring how these two quantities may be related, particularly in the context of a physics problem involving circular motion.

Discussion Character

  • Exploratory, Conceptual clarification, Assumption checking

Approaches and Questions Raised

  • Participants are questioning the nature of proportionality between the period and the radius, with some suggesting that the square of the period may be proportional to the radius. Others are seeking clarification on what it means for one variable to be proportional to another.

Discussion Status

The discussion is active, with participants sharing their interpretations and attempting to clarify the concept of proportionality. There is an exploration of how changes in the radius might affect the period, though no consensus has been reached on the exact relationship.

Contextual Notes

One participant mentions a test prompt from their teacher regarding demonstrating the proportionality of the radius, indicating that there may be specific expectations or constraints related to the homework assignment.

lord_blurg
Messages
10
Reaction score
0
How is the Period proportional to the Radius. (The Period being how long it takes for 1 full revolution of an object)

I am also assuming there is a tension force.
 
Physics news on Phys.org
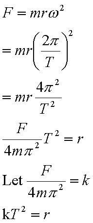
it looks the square of the period is proportional to the radius, rather.

centripetalforce.jpg
 
That's what gets me stumped though =/.

The teacher says he is going to put in the test "Show that the radius is proportional to the Radius".

What does it mean to be proportional. (It means they have a relationship I guess) But what would you write down for an answer asking if something is proportional to something else.

If the radius is changed does the Period change?
 
for a variable to be proportional to another, it implies a relationship of

A = kB (or B = pA)

where A and B are the related variables, and k or p is the constant depending on how you write the equation. thus they can be related as a straight linear line.

the radius does change when the period changes, but that is more of a statement like 'the radius increases when the period is longer', note that this statement does not really have any quantifiable mathematical relationship.
 

Similar threads

Replies
8
Views
7K
  • · Replies 1 ·
Replies
1
Views
2K
Replies
21
Views
2K
  • · Replies 2 ·
Replies
2
Views
4K
Replies
55
Views
3K
Replies
25
Views
3K
  • · Replies 9 ·
Replies
9
Views
3K
  • · Replies 1 ·
Replies
1
Views
2K
  • · Replies 4 ·
Replies
4
Views
1K
Replies
6
Views
2K