Is There a Real Analysis Method to Solve Complex Integrals?

  • Context: MHB 
  • Thread starter Thread starter nacho-man
  • Start date Start date
  • Tags Tags
    Integral
Click For Summary

Discussion Overview

The discussion revolves around the methods from real analysis that can be applied to solve complex integrals, particularly in the context of a worksheet problem from a real analysis class. Participants explore various approaches, including convergence considerations and specific techniques for integration.

Discussion Character

  • Exploratory
  • Technical explanation
  • Debate/contested
  • Mathematical reasoning

Main Points Raised

  • Some participants suggest that the problem likely requires a method from real analysis, questioning whether the goal is to test differentiating skills.
  • There is a discussion about the necessity of proving the convergence of the integral, with some participants expressing uncertainty about this requirement.
  • One participant proposes that the integrand's behavior can be analyzed to argue for convergence, noting that the denominator is strictly positive and bounded away from zero.
  • Another participant mentions that evaluating the integral directly could provide insight into convergence, although this approach raises questions about the reliability of numerical results for divergent integrals.
  • There is a mention of using the Cauchy Residue theorem after simplifying the integral, while another participant suggests a substitution method for finding an indefinite integral.
  • Concerns are raised about the potential for misleading numerical results from improper integrals, with references to the need for careful consideration of convergence in both integrals and series.

Areas of Agreement / Disagreement

Participants express differing views on the necessity of proving convergence for the integral, and there is no consensus on whether evaluating the integral numerically is a reliable method in cases of divergence. The discussion remains unresolved regarding the best approach to take.

Contextual Notes

Participants highlight limitations in their arguments, such as the need to define convergence and the conditions under which integrals may yield misleading numerical results. There is also an acknowledgment of the complexity involved in discussing convergence in the context of improper integrals.

nacho-man
Messages
166
Reaction score
0
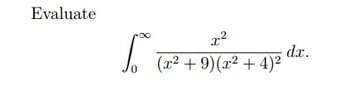
This problem came up in worksheet for a real analysis class, so I can only assume they want us to use a method from real analysis.

It would be pretty rigorous to solve otherwise, could anyone point me in the correct direction?

Or do they simply want us to test our differentiating skills?
 

Attachments

  • q5.jpg
    q5.jpg
    3.8 KB · Views: 132
Physics news on Phys.org
nacho said:
This problem came up in worksheet for a real analysis class, so I can only assume they want us to use a method from real analysis.

It would be pretty rigorous to solve otherwise, could anyone point me in the correct direction?

Or do they simply want us to test our differentiating skills?

Take into account that...

$\displaystyle \frac{x^{2}}{(x^{2}+9)\ (x^{2}+4)^{2}} = \frac{\frac{9}{25}}{x^{2}+ 9} - \frac{\frac{9}{25}}{x^{2}+4} + \frac{\frac{4}{5}}{(x^{2} + 4)^{2}}$

Kind regards

$\chi$ $\sigma$
 
nacho said:
This problem came up in worksheet for a real analysis class, so I can only assume they want us to use a method from real analysis.

It would be pretty rigorous to solve otherwise, could anyone point me in the correct direction?

Or do they simply want us to test our differentiating skills?

Do you need to prove that the integral converges?

chisigma said:
Take into account that...

$\displaystyle \frac{x^{2}}{(x^{2}+9)\ (x^{2}+4)^{2}} = \frac{\frac{9}{25}}{x^{2}+ 9} - \frac{\frac{9}{25}}{x^{2}+4} + \frac{\frac{4}{5}}{(x^{2} + 4)^{2}}$

Kind regards

$\chi$ $\sigma$

Excellent! That's where my mind went, too.
 
Ackbach said:
Do you need to prove that the integral converges?
Excellent! That's where my mind went, too.

Thanks for the response sigma,

Uh, as far as I am sure, no we do not. Although, briefly, what would one need to do in order to find convergence for an integral.

Thanks again!
 
nacho said:
Thanks for the response sigma,

Uh, as far as I am sure, no we do not. Although, briefly, what would one need to do in order to find convergence for an integral.

Thanks again!

Well, with this integral, you could probably get away with noting two things: 1. The denominator is always strictly positive, and bounded away from zero. Hence, the lower limit of the region of integration will give you no problems. 2. Furthermore, the integrand behaves like $1/x^4$ for large $x$, and hence goes to zero faster than $1/x^2$. Therefore, the upper limit of the region of integration will give you no problems. This is a hand-waving style of argument, but you could probably use it to give you an outline of the proof.
 
nacho said:
Thanks for the response sigma,

Uh, as far as I am sure, no we do not. Although, briefly, what would one need to do in order to find convergence for an integral.

Thanks again!

If you are unsure if an improper integral converges, you CAN always just evaluate the integral and see if you get a numerical answer. In this case you will :)
 
Haha, well there's that.

Ok so after simplifying the integral, I would have to apply some use Cauchy Residue theorem?
 
nacho said:
Haha, well there's that.

Ok so after simplifying the integral, I would have to apply some use Cauchy Residue theorem?

No, an indefinite integral can be found. Substitute [tex]\displaystyle \begin{align*} x = 3\tan{(\theta)} \end{align*}[/tex] into the first term, and [tex]\displaystyle \begin{align*} x = 2\tan{(\theta)} \end{align*}[/tex] into the others.
 
Prove It said:
If you are unsure if an improper integral converges, you CAN always just evaluate the integral and see if you get a numerical answer. In this case you will :)

Just as a quick off-topic question, does this always work? Or are there integrals which do not converge yet give bogus numerical results if you go ahead and still try to numerically evaluate them? I'm asking because I know that messing with infinite series without knowing if they converge is recipe for disaster, not sure if it's the same for integrals..

Might be a stupid question but I've learned to never take anything for granted :p​
 
Last edited:
  • #10
Bacterius said:
Just as a quick off-topic question, does this always work? Or are there integrals which do not converge yet give bogus numerical results if you go ahead and still try to numerically evaluate them? I'm asking because I know that messing with infinite series without knowing if they converge is recipe for disaster, not sure if it's the same for integrals..​

I don't see any reason why this method shouldn't work. If the integral doesn't converge, then why would it give a number for its value? I could be wrong though...

Just for clarification as I don't know if I was clear enough, when I said see if you get a numerical answer, I meant see if you get a number, not if you can integrate it using a numerical method...
 
  • #11
Bacterius said:
Just as a quick off-topic question, does this always work? Or are there integrals which do not converge yet give bogus numerical results if you go ahead and still try to numerically evaluate them? I'm asking because I know that messing with infinite series without knowing if they converge is recipe for disaster, not sure if it's the same for integrals..

Might be a stupid question but I've learned to never take anything for granted :p​

Generally if you follow the correct steps that will work even for series but most of the time you need to test the uniform convergence in an intermediate step . For series I think you are talking about absolute convergence and rearrangement theorem . Assuming an integral or series converge only tells us that the problem has an analytic value .Solving a divergent integral or series should not result in an analytic value unless we are making a mistake somewhere . Of course we first need to define what we mean by divergent and in what sense .
 
  • #12
Prove It said:
I don't see any reason why this method shouldn't work. If the integral doesn't converge, then why would it give a number for its value? I could be wrong though...

Just for clarification as I don't know if I was clear enough, when I said see if you get a numerical answer, I meant see if you get a number, not if you can integrate it using a numerical method...

No sorry this is indeed what I meant, e.g. integrate say an improper integral such as $\int_{-1}^1 \frac{1}{x} ~ \mathrm{d}{x}$ and get, say, $2.5$ as a result even though the integral does not converge. I thought maybe there were exotic integrals which could give misleading results like these if one was not careful enough about establishing convergence.

ZaidAlyafey said:
Generally if you follow the correct steps that will work even for series but most of the time you need to test the uniform convergence in an intermediate step . For series I think you are talking about absolute convergence and rearrangement theorem . Assuming an integral or series converge only tells us that the problem has an analytic value .Solving a divergent integral or series should not result in an analytic value unless we are making a mistake somewhere . Of course we first need to define what we mean by divergent and in what sense .

Ah, that makes sense. Yes, I was thinking about the rearrangement theorem but there are probably many such examples.
 
Last edited:

Similar threads

  • · Replies 14 ·
Replies
14
Views
4K
  • · Replies 7 ·
Replies
7
Views
5K
  • · Replies 7 ·
Replies
7
Views
3K
Replies
1
Views
2K
  • · Replies 10 ·
Replies
10
Views
5K
Replies
2
Views
3K
Replies
4
Views
2K
  • · Replies 1 ·
Replies
1
Views
673
  • · Replies 7 ·
Replies
7
Views
3K
  • · Replies 5 ·
Replies
5
Views
3K