Is There a Way to Simplify This Equation Online?

  • Context: High School 
  • Thread starter Thread starter DavidZuccaro
  • Start date Start date
Click For Summary

Discussion Overview

The discussion revolves around the simplification of a specific equation and the potential use of online tools for this purpose. Participants explore whether simplification is feasible and express their thoughts on the necessity of simplifying equations in general.

Discussion Character

  • Exploratory, Technical explanation, Debate/contested, Homework-related

Main Points Raised

  • One participant inquires about simplifying an equation and asks for online resources to assist with this task.
  • Another participant suggests using Wolfram Alpha as a tool for simplification.
  • Some participants express skepticism about the possibility of simplification, noting that nothing obvious stands out and questioning the necessity of simplification.
  • A participant references the principle of simplicity in problem-solving, indicating a philosophical perspective on the issue.
  • There is a recognition that simplification could potentially make subsequent calculations less complex, but uncertainty remains about whether it is achievable.

Areas of Agreement / Disagreement

Participants do not reach a consensus on whether the equation can be simplified. There are competing views regarding the feasibility and necessity of simplification.

Contextual Notes

Limitations include the lack of specific details about the equation in question and the absence of clear definitions regarding what constitutes simplification in this context.

DavidZuccaro
Messages
15
Reaction score
0
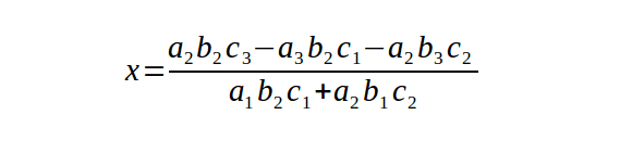
eq.png


Can anyone simply this equation? Alternatively is there a website where I can simplify formulas?
 
Last edited:
Mathematics news on Phys.org
DavidZuccaro said:
eq.png


Can anyone simply this equation? Alternatively is there a website where I can simplify formulas?
I'm not sure that there is any simplifcation that can be done here. At least there's nothing obvious that pops out at me. Why do you think it needs to be simplified. I'm reminded of the old saying:
Make things as simple as possible, but no simpler.
 
Mark44 said:
I'm not sure that there is any simplifcation that can be done here. At least there's nothing obvious that pops out at me. Why do you think it needs to be simplified. I'm reminded of the old saying:

OK, I suspected that it can't be further simplified as well, I was just asking. It would have made subsequent calculations less complex.
 

Similar threads

  • · Replies 81 ·
3
Replies
81
Views
12K
  • · Replies 5 ·
Replies
5
Views
2K
  • · Replies 10 ·
Replies
10
Views
3K
  • · Replies 23 ·
Replies
23
Views
2K
  • · Replies 7 ·
Replies
7
Views
2K
  • · Replies 6 ·
Replies
6
Views
3K
  • · Replies 22 ·
Replies
22
Views
3K
  • · Replies 15 ·
Replies
15
Views
2K
  • · Replies 4 ·
Replies
4
Views
2K
  • · Replies 3 ·
Replies
3
Views
2K