IUPAC naming for a sidechain with double bond?

  • Thread starter Thread starter krackers
  • Start date Start date
  • Tags Tags
    Bond Iupac
Click For Summary

Discussion Overview

The discussion revolves around the IUPAC naming conventions for a sidechain that includes double bonds. Participants explore how the presence of a double bond influences the naming priority in organic compounds.

Discussion Character

  • Technical explanation, Debate/contested

Main Points Raised

  • One participant asks how to name a sidechain with double bonds and whether the double bond takes priority over the length of the chain.
  • Another participant suggests the term "Methylenyl-" as a potential naming convention.
  • A different participant confirms a specific name, "3,3-dimethyl-5-methyleneheptane," as validated by Chemdraw.
  • Another proposed name is "2-ethyl-4,4-dimethyl-1-hexene," indicating a different interpretation of the naming rules.

Areas of Agreement / Disagreement

Participants present multiple competing views on the correct naming conventions, and the discussion remains unresolved regarding which name is appropriate.

Contextual Notes

There are no explicit assumptions or definitions provided, and the discussion does not resolve the mathematical or structural implications of the proposed names.

krackers
Messages
72
Reaction score
0
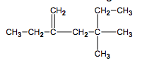
As shown in this picture.

How would you do the naming for a sidechain that has double bonds?

Or does the double bond take priority over the length of the chain?
 

Attachments

  • Screen shot 2012-07-18 at 2.33.07 PM.PNG
    Screen shot 2012-07-18 at 2.33.07 PM.PNG
    1.2 KB · Views: 871
Chemistry news on Phys.org
I think it's Methylenyl-
 
Indeed, DrDu. Chemdraw confirms that it's 3,3-dimethyl-5-methyleneheptane.
 
I think the name is 2-ethyl-4,4-dimethyl-1-hexene
 

Similar threads

  • · Replies 4 ·
Replies
4
Views
3K
Replies
1
Views
2K
Replies
1
Views
4K
  • · Replies 1 ·
Replies
1
Views
2K
  • · Replies 6 ·
Replies
6
Views
5K
  • · Replies 1 ·
Replies
1
Views
3K
  • · Replies 2 ·
Replies
2
Views
3K
  • · Replies 5 ·
Replies
5
Views
3K
  • · Replies 1 ·
Replies
1
Views
3K
  • · Replies 6 ·
Replies
6
Views
2K