Kirchhoff's Law Problem -- Resistors in Series and Parallel and a Switch

Click For Summary

Homework Help Overview

The discussion revolves around a problem involving Kirchhoff's Laws, specifically focusing on resistors in series and parallel configurations, as well as the impact of a switch on the circuit. Participants are attempting to analyze the circuit's behavior and calculate equivalent resistances.

Discussion Character

  • Exploratory, Conceptual clarification, Mathematical reasoning, Problem interpretation, Assumption checking

Approaches and Questions Raised

  • Participants are discussing the calculation of equivalent resistances for resistors in parallel and series. There are questions about the correctness of initial equations and values. Some participants are attempting to apply Kirchhoff's Voltage Law (KVL) to verify voltage sums around the circuit loop.

Discussion Status

The discussion is active, with participants providing feedback on calculations and clarifying misunderstandings. There is an ongoing exploration of how to apply KVL to the problem, with some participants suggesting different approaches to the calculations.

Contextual Notes

There are indications of confusion regarding the arrangement of resistors and the application of KVL, as well as references to textbook problems and a study guide. Some participants express uncertainty about the problem's requirements and the author's intent.

DevonZA
Messages
181
Reaction score
6

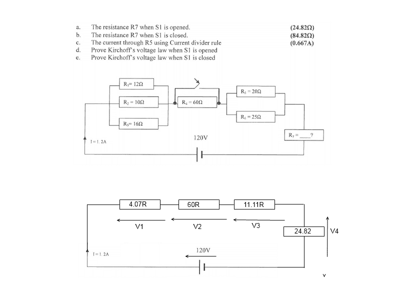
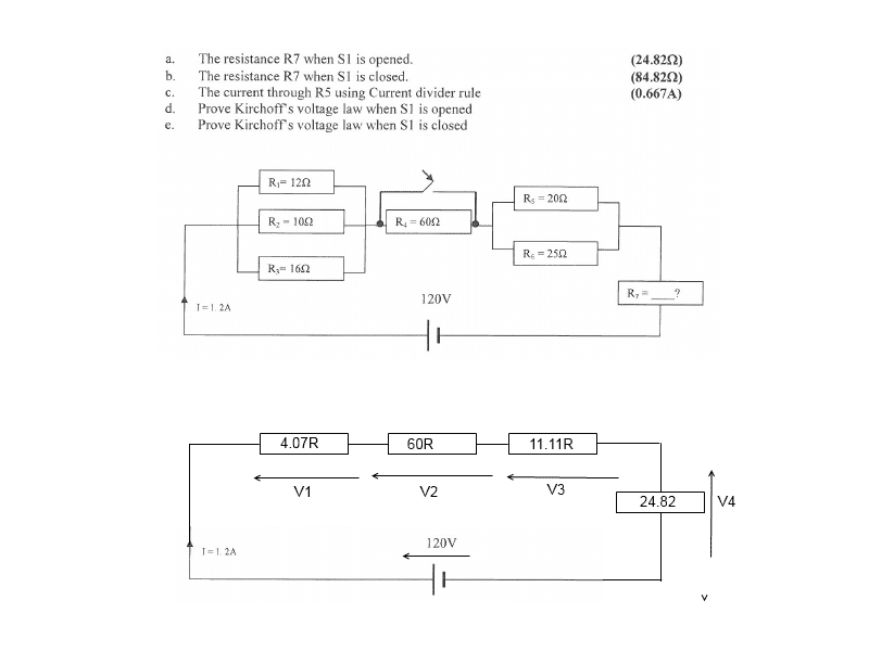
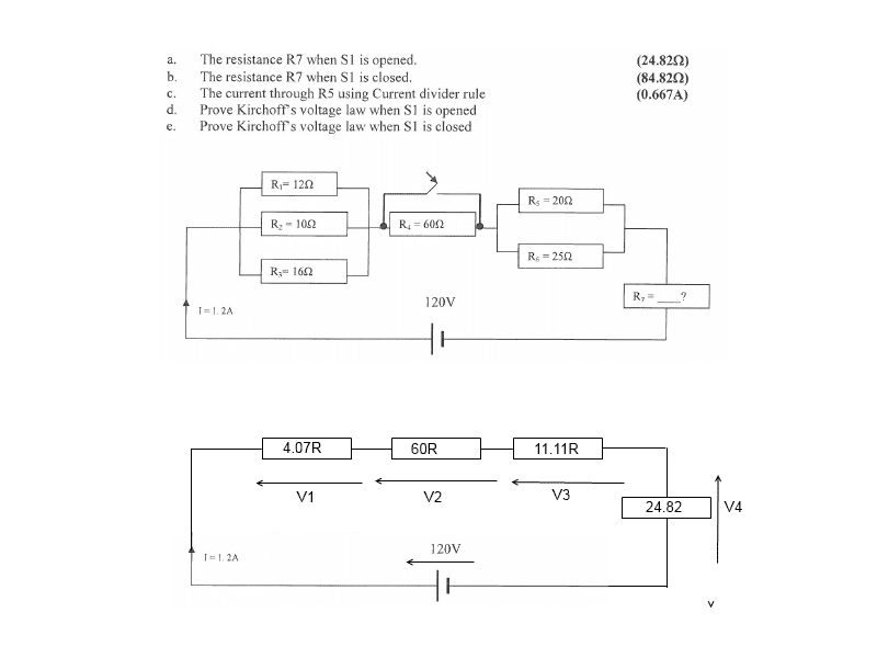
Homework Statement


upload_2016-4-22_13-22-17.png


Homework Equations


Rparellel=1/R1+1/R2...
IR1=R2/R1+R2 x I

The Attempt at a Solution


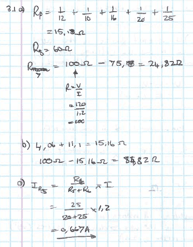
upload_2016-4-22_13-22-43.png


I am unsure of how to answer d) and e) using KVL because I count 4 junctions?
Where should I start?
 
Physics news on Phys.org
Check your first equation ! It's not for Rpalrallel but for 1/=Rpalrallel !

And the 20 and 25 Ohm resistors are NOT parallel to e.g. the 12 Ohm !
 
Yes sorry that was a typo.
The total resistance for the parallel resistors still equals 15.18ohms but yes I should have done them separately:
(1/12+1/10+1/16)^-1 = 4.07ohms
(1/20+1/25)^-1= 11.11ohms

Do my values look correct?
 
I only know $${1\over 12} + {1\over 10}+ {1\over 16}+ {1\over 20}+ {1\over 25} \ne 15.82$$
Your values in brackets are probably the book answers ?
 
(1/12+1/10+1/16+1/20+1/25)^-1=15.18 ohms

Yes values are answers in the book
 
Then why ask if the values are correct ?
 
DevonZA said:
(1/12+1/10+1/16+1/20+1/25)^-1=15.18 ohms
No. $${1\over 12} + {1\over 10}+ {1\over 16}+ {1\over 20}+ {1\over 25} = {1\over 2.98}$$However,$$
{1\over {1\over 12} + {1\over 10}+ {1\over 16} } + {1 \over {1\over 20}+ {1\over 25} } = 4.07 + 11.11 = 15.18$$
 
Last edited:
upload_2016-4-22_14-27-51.png
 
DevonZA said:

Homework Statement


[ ATTACH=full]99511[/ATTACH]
upload_2016-4-22_13-22-17-png.99511.png
What sort of device is R7 that its resistance changes depending on whether the switch is opened or closed
 
  • #10
The parts d and e are a bit weird, because basically you use KVL to calculate R7 in a and b.
And it wouldn't be proof, just showing.
I should think they want you to show that 1.2 A * (4.07 + 60 + 11.11 + 24.82) Ohm = 120 V
 
  • Like
Likes   Reactions: DevonZA
  • #11
+1

Although I prefer to make the voltages around the loop sum to zero.
 
  • Like
Likes   Reactions: SammyS
  • #12
@DevonZA ,

Are you saying that this problem is from a textbook?

What book? Who is the author ?
 
Last edited:
  • #13
CWatters said:
+1

Although I prefer to make the voltages around the loop sum to zero.
Can you show this?
 
  • #14
SammyS said:
@DevonZA ,

Are you saying that this problem is from a textbook?

What book? Who is the author ?
Hi Sammy this is from our varsity study guide. The author is most likely the lecturer who doesn't respond to me hence why I must ask these questions on here.
 
  • #15
CWatters said:
Although I prefer to make the voltages around the loop sum to zero.
DevonZA said:
Can you show this?

With reference to the equivalent circuit below... KVL says that going around a loop the voltages sum to zero.
KVL.png


If I arbitrarily choose to start at the -ve terminal of the battery and go around clockwise we have to prove that..

+120 + (-V1) + (-V2) + (-V3) + (-V4) = 0

V1 = 1.2 * 4.07 = 4.884V
V2 = 1.2 * 60 = 72V
V3 = 1.2 * 11.11 = 13.332V
V4 = 1.2 * 24.82 = 29.784V

Substitute..

+120 - 4.884 - 72 -13.332 - 29.784 = 0
 
  • Like
Likes   Reactions: DevonZA
  • #16
CWatters said:
With reference to the equivalent circuit below... KVL says that going around a loop the voltages sum to zero.
View attachment 99596

If I arbitrarily choose to start at the -ve terminal of the battery and go around clockwise we have to prove that..

+120 + (-V1) + (-V2) + (-V3) + (-V4) = 0

V1 = 1.2 * 4.07 = 4.884V
V2 = 1.2 * 60 = 72V
V3 = 1.2 * 11.11 = 13.332V
V4 = 1.2 * 24.82 = 29.784V

Substitute..

+120 - 4.884 - 72 -13.332 - 29.784 = 0
Thank you for the nice clear explanation CWatters
 

Similar threads

  • · Replies 3 ·
Replies
3
Views
955
Replies
2
Views
1K
  • · Replies 6 ·
Replies
6
Views
3K
Replies
5
Views
2K
Replies
5
Views
2K
  • · Replies 1 ·
Replies
1
Views
954
  • · Replies 15 ·
Replies
15
Views
2K
  • · Replies 14 ·
Replies
14
Views
2K
Replies
9
Views
2K
  • · Replies 3 ·
Replies
3
Views
3K