Lagrangian of falling disk connected to another disk

Click For Summary
SUMMARY

The discussion focuses on deriving the Lagrangian for a system involving two identical disks, one fixed and one free to fall, connected by a string. The key equations used are L = T - V and L = ∂L/∂x - d/dt(∂L/∂x-dot) = 0. Participants provided feedback on the clarity of the handwritten solution, emphasizing the importance of presenting work in a way that facilitates understanding. Overall, the solution presented was deemed correct, although suggestions for improvement in presentation were made.

PREREQUISITES
  • Understanding of Lagrangian mechanics
  • Familiarity with the equations of motion
  • Basic knowledge of rotational dynamics
  • Ability to interpret and present mathematical solutions clearly
NEXT STEPS
  • Study the derivation of the Lagrangian for systems with constraints
  • Explore examples of rotational motion in Lagrangian mechanics
  • Learn how to effectively present mathematical solutions for clarity
  • Review the principles of energy conservation in mechanical systems
USEFUL FOR

Students of physics, particularly those studying mechanics, and anyone looking to improve their understanding of Lagrangian dynamics and effective presentation of mathematical solutions.

Elvis 123456789
Messages
158
Reaction score
6

Homework Statement



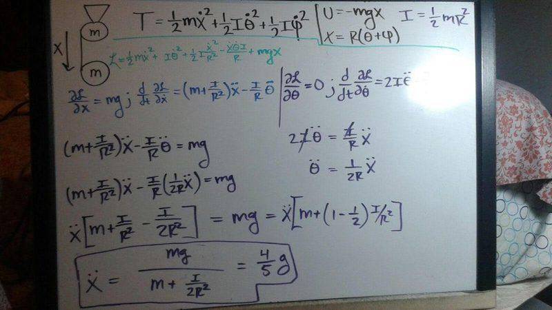
String is wrapped around two identical disks of mass m and radius R. One disk is fixed to the ceiling but is free to rotate. The other is free to fall, unwinding the string as it falls. Find the acceleration of the falling disk by finding the lagrangian and lagrange's equation of motion.

Homework Equations



L = T - V

L = ∂L/∂x - d/dt(∂L/∂x-dot) = 0

The Attempt at a Solution


my attempt at the solution is in the attachment. I feel uneasy with my choice for the constraint equation. Can anybody take a look and tell me if it looks ok?
 

Attachments

  • CM HW1.jpg
    CM HW1.jpg
    46.3 KB · Views: 569
Physics news on Phys.org
Your solution looks correct.

Posting a picture of a handwritten solution is inconvenient for the homework helper because it makes it difficult to "quote" a particular part of the solution. It would have been helpful to show more steps in arriving at the green formula for L, but it looks right. There is a glare spot on the picture that hides some of your work.

I point these things out because these are things that might make a homework helper less willing to wade through your work.

But, that aside, your solution looks good!
 
TSny said:
Your solution looks correct.

Posting a picture of a handwritten solution is inconvenient for the homework helper because it makes it difficult to "quote" a particular part of the solution. It would have been helpful to show more steps in arriving at the green formula for L, but it looks right. There is a glare spot on the picture that hides some of your work.

I point these things out because these are things that might make a homework helper less willing to wade through your work.

But, that aside, your solution looks good!
Thank you for taking the time to respond. I often take pictures of my work because typing it out often looks really messy and weird and so I figured it would actually help the homework helpers see my work better; but I see your point. Thanks for the feedback.
 

Similar threads

  • · Replies 6 ·
Replies
6
Views
1K
  • · Replies 27 ·
Replies
27
Views
6K
  • · Replies 9 ·
Replies
9
Views
2K
Replies
8
Views
2K
  • · Replies 1 ·
Replies
1
Views
2K
  • · Replies 4 ·
Replies
4
Views
3K
  • · Replies 14 ·
Replies
14
Views
3K
  • · Replies 11 ·
Replies
11
Views
1K
Replies
18
Views
3K
  • · Replies 5 ·
Replies
5
Views
3K