Laplace transform of (e^-s) / [ (s)(s-3) ]

Click For Summary
SUMMARY

The discussion centers on finding the Laplace transform of the function (e^-s) / [(s)(s-3)]. The user correctly identifies the use of the formula L { f(t-a) H(t-a) } = (e^-(as)) F(s), determining that a = 1 and F(s) = 1 / [(s)(s-3)]. However, a critical point raised is the potential confusion between finding the Laplace transform and the inverse Laplace transform, which are fundamentally different operations. The author’s solution lacks the Heaviside function H(t-a), leading to questions about its correctness.

PREREQUISITES
  • Understanding of Laplace transforms and their properties
  • Familiarity with the Heaviside step function H(t-a)
  • Knowledge of the formula L { f(t-a) H(t-a) } = (e^-(as)) F(s)
  • Basic algebraic manipulation of rational functions
NEXT STEPS
  • Study the differences between Laplace transforms and inverse Laplace transforms
  • Learn about the Heaviside step function and its applications in Laplace transforms
  • Explore examples of Laplace transforms involving exponential functions
  • Review the properties of Laplace transforms for piecewise functions
USEFUL FOR

Students and professionals in engineering, mathematics, and physics who are working with Laplace transforms, particularly those seeking to clarify the application of the Heaviside function in transform problems.

foo9008
Messages
676
Reaction score
4

Homework Statement



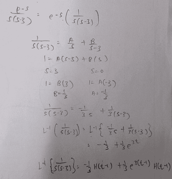
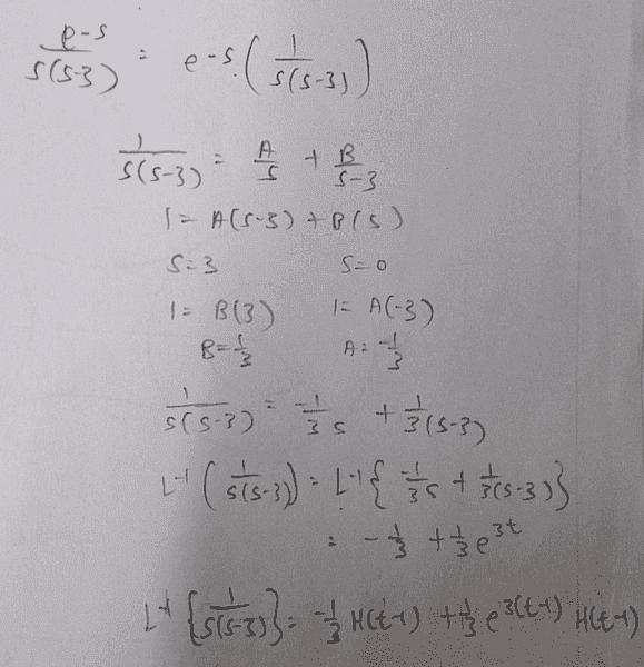
find the laplace transform of (e^-s) / [ (s)(s-3) ]

since there's (e^-s) which can be found in L { f(t-a) H(t-a) } = (e^-(as)) F(s) , so , i found a = 1 , then i found F(s) = 1/ [ (s)(s-3) ] , formula :
HGbjXV9.jpg


i have attached the working below , is it correct ? btw , the author's ans doesn't have H(t-a) , is the author's ans wrong ?
author's ans :

2v2kPyD.jpg


Homework Equations

The Attempt at a Solution


my working :
AD0HQrk.png


which is correct ? the author ? or me ?
 
Last edited:
Physics news on Phys.org
foo9008 said:

Homework Statement



find the laplace transform of (e^-s) / [ (s)(s-3) ]

since there's (e^-s) which can be found in L { f(t-a) H(t-a) } = (e^-(as)) F(s) , so , i found a = 1 , then i found F(s) = 1/ [ (s)(s-3) ] , formula :
HGbjXV9.jpg


i have attached the working below , is it correct ? btw , the author's ans doesn't have H(t-a) , is the author's ans wrong ?
author's ans :

2v2kPyD.jpg


Homework Equations

The Attempt at a Solution


my working :
AD0HQrk.png


which is correct ? the author ? or me ?

There is no way that an author would have asked you to find the Laplace transform of ##e^{-s}/(s(s-3))##. Are you sure it does not ask for the INVERSE Laplace transform? There is a huge difference between these two concepts.
 

Similar threads

  • · Replies 1 ·
Replies
1
Views
1K
  • · Replies 10 ·
Replies
10
Views
3K
  • · Replies 2 ·
Replies
2
Views
2K
  • · Replies 4 ·
Replies
4
Views
3K
Replies
2
Views
2K
  • · Replies 3 ·
Replies
3
Views
3K
  • · Replies 7 ·
Replies
7
Views
2K
  • · Replies 3 ·
Replies
3
Views
2K
  • · Replies 1 ·
Replies
1
Views
1K
  • · Replies 1 ·
Replies
1
Views
1K