Leibnitz Formulae for differentiation - Tricky question

Click For Summary
SUMMARY

The discussion revolves around the Leibnitz formula for differentiation, specifically the expression \(\frac{d^{n}}{dx^{n}}f(x) = \sum^{n}_{i=0} \left(\stackrel{n}{i}\right) g^{n-i}(x)h^{i}(x)\). Participants express confusion regarding the omission of higher derivatives, particularly the third derivative, when analyzing the function \(f(x) = 4x^2 + 1\). The key takeaway is that the third derivative and all higher derivatives of this specific polynomial are zero, which is crucial for understanding the behavior of the function beyond the second derivative. The discussion emphasizes the importance of recognizing that not all functions are polynomials, which affects derivative calculations.

PREREQUISITES
  • Understanding of the Leibnitz formula for differentiation
  • Familiarity with polynomial functions and their derivatives
  • Knowledge of binomial coefficients and their application in calculus
  • Basic calculus concepts, including first, second, and higher-order derivatives
NEXT STEPS
  • Study the implications of the Leibnitz rule in advanced calculus contexts
  • Explore the properties of polynomial functions and their derivatives
  • Learn about binomial coefficients and their role in combinatorial calculus
  • Investigate the behavior of non-polynomial functions under differentiation
USEFUL FOR

Students and educators in mathematics, particularly those focusing on calculus and differentiation, as well as anyone seeking to deepen their understanding of the Leibnitz formula and its applications.

thomas49th
Messages
645
Reaction score
0
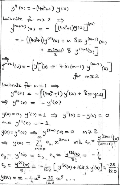
Leibnitz.png


All I know about Leibnitz is

[tex]\frac{d^{n}}{dx^{n}}f(x) = \sum^{n}_{i=0} \left(\stackrel{n}{i}\right) g^{n-i}(x)h^{i}(x)[/tex]

and I don't understand what the answer sheet says:

Parts of it perhaps - I can see they take the 0th, 1st and 2nd derivative, but why not more? I mean why stop at 2? I know m>=2 for y^(m+2) to be +ve, but if m was 3 (which it could be) why do we not have the 3rd derivative in there aswell? Also using the combination for working out the binomal coefficients, taking the 1st derivative for example, how does [tex]\frac{(m-1)!}{(m-2)!1!} = m[/tex]? I get m-1.
Leibnitz_ms.png


Stumped.
 
Last edited:
Physics news on Phys.org
thomas49th said:
Leibnitz.png


All I know about Leibnitz is

[tex]\frac{d^{n}}{dx^{n}}f(x) = \sum^{n}_{i=0} \left(\stackrel{n}{i}\right) g^{n-i}(x)h^{i}(x)[/tex]
That doesn't even make sense- unless you say f(x)= g(x)h(x) first!

and I don't understand what the answer sheet says:

Parts of it perhaps - I can see they take the 0th, 1st and 2nd derivative, but why not more? I mean why stop at 2? I know m>=2 for y^(m+2) to be +ve, but if m was 3 (which it could be) why do we not have the 3rd derivative in there aswell? Also using the combination for working out the binomal coefficients, taking the 1st derivative for example, how does [tex]\frac{(m-1)!}{(m-2)!1!} = m[/tex]? I get m-1.
Here, [itex]f(x)= 4x^2+ 1[/itex] so that [itex]f'(x)= 8x[/itex], [itex]f''(x)= 8[/itex] and [itex]f'''(x)= 0[/itex]. It is the fact that the third derivative (and all higher) derivatives of f are 0 that is important, not derivatives of y. Indeed, there is no reason to think that y is a polynomial at all,


Leibnitz_ms.png


Stumped.
 
HallsofIvy said:
Here, [tex]f(x)= 4x^{2} + 1[/tex] so that , and . It is the fact that the third derivative (and all higher) derivatives of f are 0 that is important, not derivatives of y. Indeed, there is no reason to think that y is a polynomial at all,

How come f(x) equals the coefficient of y?
 

Similar threads

  • · Replies 7 ·
Replies
7
Views
3K
  • · Replies 7 ·
Replies
7
Views
2K
Replies
3
Views
2K
  • · Replies 5 ·
Replies
5
Views
2K
  • · Replies 3 ·
Replies
3
Views
4K
  • · Replies 3 ·
Replies
3
Views
2K
Replies
9
Views
2K
  • · Replies 7 ·
Replies
7
Views
2K
Replies
2
Views
2K
  • · Replies 4 ·
Replies
4
Views
2K