Finding formula for nth derivatives of some functions

Click For Summary

Homework Help Overview

The discussion revolves around finding a formula for the nth derivatives of certain functions, with specific focus on understanding notation, particularly the use of ellipses in mathematical expressions.

Discussion Character

  • Conceptual clarification, Assumption checking

Approaches and Questions Raised

  • Participants are attempting to understand the meaning of ellipses in mathematical notation and how they relate to factorials and derivatives. Questions are raised about the derivation of specific terms in the formula and the necessity of calculating higher-order derivatives to identify patterns.

Discussion Status

There is an ongoing exploration of the meaning of notation and the implications of the ellipses in the context of factorials. Some participants provide interpretations and clarifications, but no consensus has been reached regarding the official definitions or the necessity of additional derivatives.

Contextual Notes

Participants express confusion over specific mathematical expressions and their implications, indicating a need for further clarification on notation and its application in the problem context.

member 731016
Homework Statement
Please see below
Relevant Equations
Please see below
For part(a),
1682634812514.png

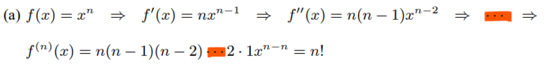
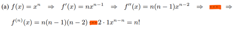
The solution is,
1682654740676.png


However, I am having trouble understanding their finial formula. Does anybody please know what the floating ellipses mean? I have only seen ellipses that near the bottom like this ##...## I am also confused where they got the ##2 \cdot 1## from.

When solving this problem, in addition to finding the 1st and 2nd derivatives, I also found the 3rd and 4th derivatives, but I guess I didn't need the last two to find the pattern?

Many thanks!
 

Attachments

  • 1682634851194.png
    1682634851194.png
    7.1 KB · Views: 200
Last edited by a moderator:
Physics news on Phys.org
The first one means "and so on until" and the second one means "multiplied by according factors until"
 
  • Like
Likes   Reactions: YouAreAwesome and member 731016
$$n!= 1\cdot 2 \cdot 3 \cdot \ldots \cdot (n-3)\cdot (n-2)\cdot (n-1)\cdot n $$
but there is no way to write down all factors in between since somewhere we will have to stop writing down natural numbers, and somewhere we will have to arrive at ##n.## The dots are for the factors in between.

Otherwise, we can only explain it by a recursion.
\begin{align*}
1! &= 1\\
n! &=n\cdot (n-1)!\text{ for all }n>1
\end{align*}

Now we have
$$
2!=2\cdot 1!=2\cdot 1=2 \Longrightarrow 3!=3\cdot 2!=3\cdot 2=6 \Longrightarrow \ldots \Longrightarrow n!=n\cdot (n-1)!=n\cdot (n-1)\cdot \ldots\cdot 2 \cdot 1
$$
The dots here mean: Insert the missing statements one by one, from the third to the ##(n-1)##th.
 
  • Like
Likes   Reactions: Kumail Haider, YouAreAwesome and member 731016
ChiralSuperfields said:
Homework Statement: Please see below
Relevant Equations: Please see below

For part(a),
View attachment 325603
The solution is,
View attachment 325604
However, I am having trouble understanding their finial formula. Does anybody please know what the floating ellipses mean? I have only seen ellipses that near the bottom like this ##...## I am also confused where they got the ##2 \cdot 1## from.

When solving this problem, in addition to finding the 1st and 2nd derivatives, I also found the 3rd and 4th derivatives, but I guess I didn't need the last two to find the pattern?

Many thanks!
I read the three dots to mean, "Keeping following this pattern from my left, and you'll get this next thing to my right". My guess is this is not the official definition. 😀
 
  • Like
Likes   Reactions: member 731016

Similar threads

Replies
9
Views
5K
  • · Replies 19 ·
Replies
19
Views
3K
  • · Replies 3 ·
Replies
3
Views
3K
  • · Replies 4 ·
Replies
4
Views
2K
  • · Replies 2 ·
Replies
2
Views
2K
  • · Replies 11 ·
Replies
11
Views
11K
  • · Replies 2 ·
Replies
2
Views
2K
Replies
13
Views
4K
  • · Replies 2 ·
Replies
2
Views
3K
  • · Replies 7 ·
Replies
7
Views
8K