L'Hopital's Rule case: How does x^(-4/3) equal 0 when x approches infinity?

Click For Summary
SUMMARY

The discussion centers on the application of L'Hopital's Rule to evaluate the limit of the function x^(-4/3) as x approaches infinity. Participants confirm that as x increases indefinitely, the term x^(4/3) approaches positive infinity, leading to its inverse, x^(-4/3), approaching zero. This conclusion is established through the mathematical principles governing limits and the behavior of polynomial functions at infinity.

PREREQUISITES
  • Understanding of limits in calculus
  • Familiarity with L'Hopital's Rule
  • Knowledge of polynomial functions
  • Basic algebraic manipulation skills
NEXT STEPS
  • Study the detailed application of L'Hopital's Rule in various limit scenarios
  • Explore the behavior of polynomial functions at infinity
  • Learn about other limit evaluation techniques, such as epsilon-delta proofs
  • Investigate the implications of limits in real-world applications
USEFUL FOR

Students of calculus, mathematics educators, and anyone seeking to deepen their understanding of limits and L'Hopital's Rule in mathematical analysis.

Mohmmad Maaitah
Messages
90
Reaction score
20
Homework Statement
How is this 0/0 so we can use L'Hopital's Rule?
Relevant Equations
L'Hopital's Rule
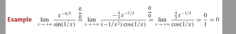
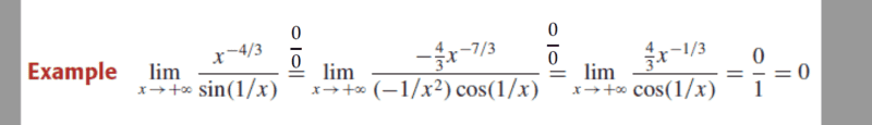
I'm talking about the x^(-4/3) how does it equal 0 when x approch infinite??
so I can use

L'Hopital's Rule

1683875873476.png
 

Attachments

  • 1683875928800.png
    1683875928800.png
    7.3 KB · Views: 144
  • 1683875935945.png
    1683875935945.png
    7.3 KB · Views: 151
Physics news on Phys.org
$$x^{\frac{4}{3}}\rightarrow +\infty$$
so its inverse
$$x^{-\frac{4}{3}}\rightarrow +0$$
 
  • Like
Likes   Reactions: scottdave, PhDeezNutz, Mohmmad Maaitah and 1 other person

Similar threads

Replies
17
Views
3K
  • · Replies 7 ·
Replies
7
Views
2K
  • · Replies 14 ·
Replies
14
Views
2K
  • · Replies 5 ·
Replies
5
Views
2K
Replies
5
Views
2K
  • · Replies 3 ·
Replies
3
Views
7K
Replies
4
Views
2K
Replies
6
Views
2K
  • · Replies 3 ·
Replies
3
Views
2K
  • · Replies 9 ·
Replies
9
Views
3K