Liquefying Nitrogen: Problem w/ Latent Heat at 280.6K

  • Thread starter Thread starter gfd43tg
  • Start date Start date
  • Tags Tags
    Nitrogen
Click For Summary
SUMMARY

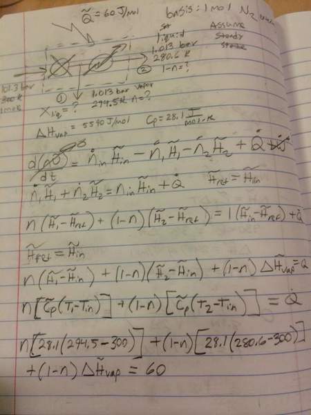
The discussion focuses on the challenges of calculating the latent heat of vaporization for liquid nitrogen at 280.6 K using Trouton's rule. The user encounters a domain error due to a negative value raised to the power of 0.38, indicating an issue with the reduced temperature exceeding unity. The system configuration includes a throttle valve followed by a heat exchanger, with some vapor exiting before entering the heat exchanger. The user seeks clarification on the vaporization enthalpy calculation and the accuracy of their system diagram.

PREREQUISITES
  • Understanding of latent heat and vaporization concepts
  • Familiarity with Trouton's rule and its applications
  • Knowledge of thermodynamic cycles involving throttle valves and heat exchangers
  • Basic principles of reduced temperature in thermodynamics
NEXT STEPS
  • Research the application of Trouton's rule for various substances
  • Study the principles of vaporization enthalpy calculations
  • Explore the design and function of throttle valves in thermodynamic systems
  • Learn about the thermodynamic properties of nitrogen at different temperatures
USEFUL FOR

Students and professionals in thermodynamics, chemical engineering, and anyone involved in cryogenic processes or the study of phase changes in fluids.

gfd43tg
Gold Member
Messages
949
Reaction score
48
ImageUploadedByPhysics Forums1396753337.687284.jpg


Sorry for the template not being present, when I use my phone it doesn't show up. I am trying the problem about liquefying liquid nitrogen, and I am having my first problem finding the latent heat of vaporization at 280.6 K. I try using trouton's rule, and I get a domain error because the inside is negative with a power of 0.38.


I can't really tell if my drawing is right, I am assuming that the order in which it enters the system is a throttle valve, then a heat exchanger. Some vapor leaves the system, which is the combined throttle valve and heat exchanger, before entering the heat exchanger. Then, the rest goes through the heat exchanger.
 

Attachments

  • ImageUploadedByPhysics Forums1396753366.297172.jpg
    ImageUploadedByPhysics Forums1396753366.297172.jpg
    96.7 KB · Views: 495
Last edited:
Physics news on Phys.org
Here is a new attempt, this time I made the inlet condition the reference. I am still stuck about the vaporization enthalpy using troutons rule and getting a negative number due to the reduced temperature being greater than unity

ImageUploadedByPhysics Forums1396764658.823847.jpg
 

Similar threads

  • · Replies 17 ·
Replies
17
Views
3K
Replies
10
Views
3K
Replies
22
Views
4K
  • · Replies 8 ·
Replies
8
Views
2K
  • · Replies 5 ·
Replies
5
Views
1K
Replies
7
Views
2K
  • · Replies 7 ·
Replies
7
Views
3K
  • · Replies 2 ·
Replies
2
Views
2K
Replies
1
Views
3K
  • · Replies 3 ·
Replies
3
Views
2K