Logarithmic Differentiation Problem

Click For Summary

Homework Help Overview

The discussion revolves around finding the derivative of the function ##f(x)=\frac{e^x-e^{-x}}{e^x+e^{-x}}##, with a focus on the techniques of differentiation, particularly logarithmic differentiation and the use of hyperbolic functions.

Discussion Character

  • Exploratory, Conceptual clarification, Mathematical reasoning, Problem interpretation, Assumption checking

Approaches and Questions Raised

  • Participants discuss various methods for differentiation, including the quotient rule and logarithmic differentiation. Some suggest rewriting the function in terms of hyperbolic sine and cosine, while others express uncertainty about the advantages of logarithmic differentiation in this context.

Discussion Status

There is an ongoing exploration of different approaches to the problem, with some participants providing suggestions and others seeking clarification on hyperbolic functions. While there is no explicit consensus, several participants have offered guidance on simplifying the expression and using known differentiation techniques.

Contextual Notes

Some participants note that the original poster may not be familiar with hyperbolic functions, which could impact their approach to the problem. Additionally, the discussion acknowledges the constraints of time due to the practice exam context, which may affect the original poster's ability to engage with the material fully.

opus
Gold Member
Messages
717
Reaction score
131

Homework Statement


Find the derivative of ##f(x)=\frac{e^x-e^{-x}}{e^x+e^{-x}}##

2. Homework Equations

The Attempt at a Solution



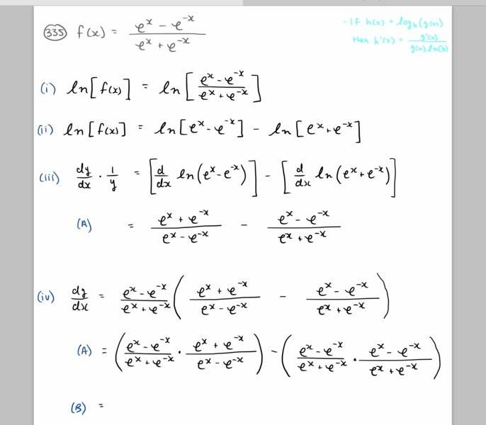
Please see attached image. The given solution has a 4 in the numerator, and I don't see how I can come across that with the way that I'm going. I think I'm making it 100x more difficult than it should be done. Any tips on what I can do to go at this more efficiently?
 
Physics news on Phys.org
Work:
 

Attachments

  • 8EFBD8F3-97EC-40F2-9EA3-6780E2A261F8.jpeg
    8EFBD8F3-97EC-40F2-9EA3-6780E2A261F8.jpeg
    30.7 KB · Views: 479
opus said:
Any tips on what I can do to go at this more efficiently?
Rewrite in terms of sinh and cosh.
 
  • Like
Likes   Reactions: opus
I don't think logarithmic differentiation is giving you any advantage. I would multiply the original expression top and bottom by ex.
 
  • Like
Likes   Reactions: opus
Orodruin said:
Rewrite in terms of sinh and cosh.
Hmm. I'm not seeing the role that sin and cos play in here. Could you explain please?
 
epenguin said:
I don't think logarithmic differentiation is giving you any advantage. I would multiply the original expression top and bottom by ex.
Ill give it a go!
 
opus said:
Hmm. I'm not seeing the role that sin and cos play in here. Could you explain please?
@Orodruin is talking about ##\sinh## and ##\cosh##, two hyperbolic trig functions, not the circular trig funnctions.
##\cosh(x) = \frac{e^x + e^{-x}}{2}##
See https://en.wikipedia.org/wiki/Hyperbolic_function
 
  • Like
Likes   Reactions: opus
Ohh ok. I never went over those in my Algebra class, but I've started to go over them on my own. Let me poke into them a little further and see what I can do with it.
 
opus said:
Ohh ok. I never went over those in my Algebra class, but I've started to go over them on my own. Let me poke into them a little further and see what I can do with it.
The main properties you need are that
##\cosh^2 x - \sinh^2 x =1##
##d\sinh x/ dx= \cosh x##
##d\cosh x/dx = \sinh x##
 
  • Like
Likes   Reactions: opus
  • #10
I believe you can just use the chain rule: df/dx = (df/dz)(dz/dx) = (df/dz)(1) = df/dz = 4/(e^z+e^(-z))^2.
 
  • Like
Likes   Reactions: opus
  • #11
Marc Frantz said:
I believe you can just use the chain rule: df/dx = (df/dz)(dz/dx) = (df/dz)(1) = df/dz = 4/(e^z+e^(-z))^2.
That's the correct answer, but I don't see how you can get it using the chain rule. The original function is given by ##f(x) = \frac{e^x - e^{-x}}{e^x + e^{-x}}##. The most obvious technique would be the quotient rule. Logarithmic differentiation could also be used, but I don't see much advantage to using it in this problem.
 
  • Like
Likes   Reactions: opus
  • #12
Yes you can use the knowledge of hyperbolic functions, but the student does not have this yet, and to get it it will be easier when solving problems like the present does not seem very difficult any more IMHO.

As well as my suggested simplification whose point is just to reduce the number of terms you will be differentiating, I would then further simplifiy by expressing the result as (##1 +## something) and then you see something fairly simple and of standard type already somewhat familiar. (Using this may give a result not in the exact form of your textbook answer and you may have to convert it back.)

This should take minutes not days, However if you do it please don't just tell us you have done it, tell us what you have done.
 
  • Like
Likes   Reactions: opus
  • #13
epenguin said:
Yes you can use the knowledge of hyperbolic functions, but the student does not have this yet, and to get it it will be easier when solving problems like the present does not seem very difficult any more IMHO.

As well as my suggested simplification whose point is just to reduce the number of terms you will be differentiating, I would then further simplifiy by expressing the result as (##1 +## something) and then you see something fairly simple and of standard type already somewhat familiar. (Using this may give a result not in the exact form of your textbook answer and you may have to convert it back.)

This should take minutes not days, However if you do it please don't just tell us you have done it, tell us what you have done.

Thanks for the responses all. I would agree that this problem should not take days, but this is for a practice exam and there are over 40 problems, and this does take days (at least for me). So when I get stuck on a problem, I ask for help and put it to the side to come back to it later so I can keep making progress. Apologies if it has come of as forgetting about the thread.

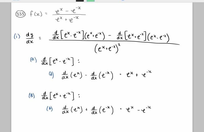
Please see below for my work. I felt the most confidence in just using the quotient rule, but I'm not sure how we can end up with a 4 in the numerator. I think this has something to do with what you were referring to in your post @epenguin about converting it back?
 
  • #14
Please see images.
 

Attachments

  • 8FABA2F4-E326-4E20-B5C0-5AD1E82DAAA0.jpeg
    8FABA2F4-E326-4E20-B5C0-5AD1E82DAAA0.jpeg
    23.3 KB · Views: 440
  • 85B43FA0-FBCF-4B67-8171-ED640F4B690D.jpeg
    85B43FA0-FBCF-4B67-8171-ED640F4B690D.jpeg
    18.5 KB · Views: 425
  • #15
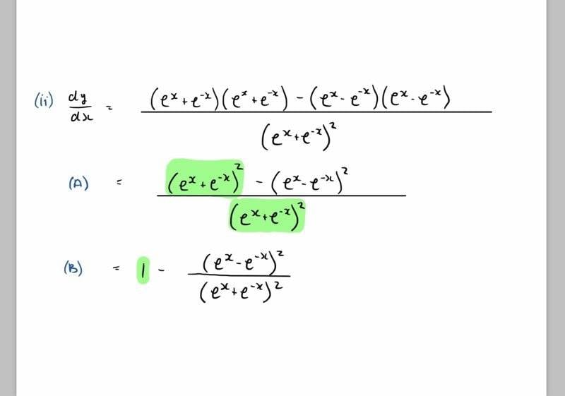
Expand the squares in the numerator instead of rewriting the first term as a one.
 
  • Like
Likes   Reactions: opus
  • #16
Ohhh ok. Got it then. So in expanding and then simplifying, we get
##\frac{4e^xe^{-x}}{(e^x+e^{-x})^2}##
and since ##e^xe^{-x}=1##,
we have ##\frac{4}{(e^x+e^{-x})^2}##

So let me ask this:
Is there a proper way to know what form it should be in, or when we should stop simplifying? For example, is this form a more proper way to express the solution vs the way I had it written in my attached images?
 
  • #17
There is no such thing as a ”proper” form. A form is correct or not and can be easily expressed or not, but in the end both forms are equivalent. What is ”easier” is a matter of taste to some extent.

Of course, I still think the easiest way is with cosh and sinh along with the derivative of a quotient:
$$
\frac{d}{dx}\frac{\sinh(x)}{\cosh(x)} = \frac{\cosh^2(x) - \sinh^2(x)}{\cosh^2(x)} = \frac{1}{\cosh^2(x)} = \frac{4}{(e^x + e^{-x})^2}.
$$
This is exactly the same way that you would derive the derivative of ##\tan(x)##, just using the hyperbolic one instead of the trigonometric one.
 
  • Like
Likes   Reactions: opus
  • #18
Ok thank you! Once I get more familiar with cosh an sinh I will come back to this so I can see what you mean. I'm not familiar enough with them to use them as I thought you were writing typos in sinh instead of sin when I first saw your post :DD
 
  • #19
I never make typus!
Oh wiat!
o:)
 
  • Like
Likes   Reactions: opus
  • #20
Hah! :DD
Thanks for the help everyone! And apologies for the lengthy time in between responses.
 
  • #21
At least you reply, which is more than many others ...
 
  • Like
Likes   Reactions: epenguin and opus
  • #22
Well that would be just plain rude! Usually I respond as soon as I see there's a post but I've got my exam tomorrow and I've been plowing through as many problems as I can so I haven't had much computer time this weekend. But I really do appreciate all of the help.
 
  • #23
opus said:
Ok thank you! Once I get more familiar with cosh an sinh I will come back to this so I can see what you mean. I'm not familiar enough with them to use them as I thought you were writing typos in sinh instead of sin when I first saw your post :DD

You don't need to have ever heard of ##\sinh## or ##\cosh## to do the question from start to finish. All you need is the differentiation formula for a ratio: $$\left( \frac{f}{g}\right)' = \frac{f'}{g} - \frac{f g'}{g^2}.$$ Apply that to ##f = e^x - e^{-x}## and ##g = e^x + e^{-x}.##
 
  • Like
Likes   Reactions: opus
  • #24
Orodruin said:
There is no such thing as a ”proper” form. A form is correct or not and can be easily expressed or not, but in the end both forms are equivalent. What is ”easier” is a matter of taste to some extent.

Of course, I still think the easiest way is with cosh and sinh along with the derivative of a quotient:
$$
\frac{d}{dx}\frac{\sinh(x)}{\cosh(x)} = \frac{\cosh^2(x) - \sinh^2(x)}{\cosh^2(x)} = \frac{1}{\cosh^2(x)} = \frac{4}{(e^x + e^{-x})^2}.
$$
This is exactly the same way that you would derive the derivative of ##\tan(x)##, just using the hyperbolic one instead of the trigonometric one.
To expand just a bit on the work above,
##\frac d {dx} \tanh(x) = \frac{d}{dx}\frac{\sinh(x)}{\cosh(x)} = \frac{\cosh^2(x) - \sinh^2(x)}{\cosh^2(x)} = \frac{1}{\cosh^2(x)} = \frac{4}{(e^x + e^{-x})^2} = sech^2(x)##
Compare to the formula for ##\frac d {dx} \tan(x)##

Also, the derivatives of the hyperbolic sine and cosine are very nice:
##\frac d {dx} \sinh(x) = \cosh(x)##
##\frac d {dx} \cosh(x) = \sinh(x)##
No messy changes of sign to have to remember...
 
  • Like
Likes   Reactions: opus
  • #25
Thanks guys. I'll have to remember those. It seems there are a lot of good identity and property gems that are good to memorize to take derivatives.
 
  • #26
Congratulations!
My idea was
$$\dfrac {e^{x}-e^{-x}}{e^{x}+e^{-x}}=\dfrac {e^{2x}-1}{e^{2x}+1}=1-\dfrac {2}{e^{2x}+1}$$
(You can also do these operations essentially in the opposite order).

Then you need only the standard elementary ##\dfrac {d\left( v^{-1}\right) }{dx}=-v^{-2}\cdot \dfrac {dv}{dx}##. to get

$$d\left( 1-\dfrac {2}{e^{2x}+1}\right) =\dfrac {4e^{2x}}{\left( e^{2x}+1\right) ^{2}}$$
which, as foreseen, is the same thing as your, preferable, form.
 
Last edited:
  • #27
Ray Vickson said:
You don't need to have ever heard of ##\sinh## or ##\cosh## to do the question from start to finish. All you need is the differentiation formula for a ratio: $$\left( \frac{f}{g}\right)' = \frac{f'}{g} - \frac{f g'}{g^2}.$$ Apply that to ##f = e^x - e^{-x}## and ##g = e^x + e^{-x}.##
But he already did that...
 
  • #28
Orodruin said:
But he already did that...
I did not see it; if he did it in an attached photo I would not have looked at it.
 
  • #29
Ray Vickson said:
I did not see it; if he did it in an attached photo I would not have looked at it.
If he had not done it, I would not have provided a full solution.
 

Similar threads

  • · Replies 5 ·
Replies
5
Views
2K
  • · Replies 8 ·
Replies
8
Views
1K
  • · Replies 12 ·
Replies
12
Views
2K
  • · Replies 4 ·
Replies
4
Views
1K
Replies
3
Views
1K
Replies
2
Views
2K
Replies
5
Views
2K
  • · Replies 7 ·
Replies
7
Views
1K
  • · Replies 18 ·
Replies
18
Views
3K