Looking for more accurate energy-momentum transformations for photons

Click For Summary

Discussion Overview

The discussion centers on the energy-momentum transformations for photons, particularly in the context of flat space-time. Participants explore the accuracy of existing transformations and the conditions under which they may deviate, as well as the implications of far-field approximations in relation to these transformations.

Discussion Character

  • Debate/contested
  • Technical explanation
  • Conceptual clarification

Main Points Raised

  • One participant suggests that photons deviate from established energy-momentum transformations under certain conditions in flat space-time.
  • Another participant contests this claim, asserting that photons do not deviate from these transformations.
  • A participant references the transformation of frequency for a monochromatic point source, indicating it is equivalent to energy transformation but only valid as a far-field approximation.
  • There is a discussion about the need for clarification regarding which formulae are approximations and the reasoning behind this classification.
  • Some participants argue that the derivation of the frequency transformation can be traced back to Lorentz transformations, questioning the necessity of a more accurate transformation.
  • Another participant points out that Einstein's original work discusses plane waves and suggests that the far-field approximation is relevant to the discussion of photons.
  • Concerns are raised about the applicability of Einstein's remarks to modern interpretations of photons, with some participants noting that Einstein's context was classical electromagnetic waves rather than quantum photons.

Areas of Agreement / Disagreement

Participants express differing views on whether photons deviate from energy-momentum transformations, and there is no consensus on the necessity or existence of a more accurate transformation. The discussion remains unresolved with multiple competing perspectives.

Contextual Notes

Participants highlight the limitations of relying on historical texts for understanding modern physics concepts, noting that Einstein's work may not directly address the nuances of photon behavior as understood today.

tade
Messages
720
Reaction score
26
RkK7sVE23hJ8qwayZFaA9v72HfYxwlsVk6qlFLrMtfHT-AY0-v.png


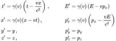
Photons deviate from the above energy-momentum transformations under certain circumstances while still in flat space-time, I'm wondering what set of transformations would more accurately describe them over as wide a range of circumstances as possible, still in flat space-time, I've searched and I'm hoping I can get some useful info.
 
Last edited:
Physics news on Phys.org
tade said:
Photons deviate from the above energy-momentum transformations under certain circumstances while still in flat space-time
No they don't.
 
Orodruin said:
tade said:
Photons deviate from the above energy-momentum transformations under certain circumstances while still in flat space-time
No they don't.

Hmm, ok, I was looking at the transformation of frequency of a monochromatic point source:

##f'=γ(1-βcosθ)f##

It is equivalent to the energy transformation above. But it is only a far-field approximation.
 
Last edited:
tade said:
Hmm, ok, I was looking at the transformation of frequency of a monochromatic point source:

##f'=γ(1-βcosθ)f##

It is equivalent to the energy transformation above. But it is only a far-field approximation.
What makes you think that that is any different from the transformation you gave above?
 
Orodruin said:
What makes you think that that is any different from the transformation you gave above?
hmmm? I said it is equivalent mathematically. But it is a far-field approximation, so there should ostensibly be another more accurate transformation.
 
Last edited:
I think you need to lay out what you think is a far-field approximation to what.
 
Ibix said:
I think you need to lay out what you think is a far-field approximation to what.
As mentioned above, for a monochromatic point source. The formula gets closer to the value of f' the further away the "photon-event" is from the source.
 
So far you have given nine formulae. One of them you think is an approximation to something. I have no idea which formula you think is an approximation or why you think this.

You need to explain what you think is an approximation and why you think it is an approximation. Simply saying "the formula is a far field approximation" is leaving me with no idea what it is you are asking about.
 
  • Like
Likes   Reactions: Dale
Ibix said:
So far you have given nine formulae. One of them you think is an approximation to something. I have no idea which formula you think is an approximation or why you think this.

You need to explain what you think is an approximation and why you think it is an approximation. Simply saying "the formula is a far field approximation" is leaving me with no idea what it is you are asking about.
Ok, the formula in #3 is equivalent to the energy transformation, which is the top right one of the eight formulae.

The left side are the space-time transformations, but they just came with the image, they aren't part of the discussion.

The formula in #3 is derived from far-field approximation considerations, so it ostensibly necessitates another more accurate transformation.
 
  • #10
tade said:
The formula in #3 is derived from far-field approximation considerations
Is it? As far as I'm aware it can be derived from applying the Lorentz transforms to to a distance ##\lambda## making an angle ##\theta## to the x-axis in order to get ##\lambda'## and then using ##\nu'=c/\lambda'##. So I still don't see the problem.
 
  • #11
Ibix said:
Is it?
It appears to be the case as Einstein mentions the approximate application in section 7 of "On the Electrodynamics of Moving Bodies".
 
  • #12
He only does that so he has a plane wave. The argument applies equally to any other shape.

It's easy enough to repeat the derivation with a spherical wavefront, or you can just observe that a plane wave tangent to a spherical wave looks locally like the spherical wave and just skip the re-derivation.
 
  • #13
Ibix said:
He only does that so he has a plane wave. The argument applies equally to any other shape.

It's easy enough to repeat the derivation with a spherical wavefront, or you can just observe that a plane wave tangent to a spherical wave looks locally like the spherical wave and just skip the re-derivation.
I see, how do you show that its equal for a spherical wavefront, or any shape for that matter
 
  • #14
See post #10.
 
  • #16
tade said:
From the English version, Einstein writes, "relatively to an infinitely distant source", does this mean that he should've removed "infinitely distant"?
That's just how he gets to the plane wave approximation.

This might be a good time to mention that it is seldom effective to learn the physics directly from what the pioneers wrote (the history of science is of course a different matter). First there are wrong turns that are only apparent in hindsight, so are unmarked in Einstein's writing but safely bypassed in modern textbooks. Second, and often a greater challenge for the student, is the pioneering papers are written for other specialists. The audience is expected fill in missing steps without prompting and to recognize unstated assumptions from the context.
 
  • #17
I think your confusion is arising because you're equating a classical electromagnetic wave, which is what Einstein was talking about, with a photon. Einstein uses the far-field approximation because that's where only the wavelike solution survives. Near the source, you'd have other significant contributions to the changing electric and magnetic fields, which would make the analysis harder, and which would obscure the points he was trying to make.
 
  • #18
Nugatory said:
That's just how he gets to the plane wave approximation.

This might be a good time to mention that it is seldom effective to learn the physics directly from what the pioneers wrote (the history of science is of course a different matter). First there are wrong turns that are only apparent in hindsight, so are unmarked in Einstein's writing but safely bypassed in modern textbooks. Second, and often a greater challenge for the student, is the pioneering papers are written for other specialists. The audience is expected fill in missing steps without prompting and to recognize unstated assumptions from the context.
To ensure no misunderstanding, the line I quoted comes from the paragraph immediately before he introduces the frequency transform.
 
  • #19
For a photon, the (semi)classical relationship is that ##E = |\vec{p}|c##. This comes from the fact that a photon is massless, and it's an exact relationship.

Einstein however, was writing special relativity as a purely classical theory. I do not believe that Einstein would have used the word "photon" at all. A search of the paper you cite didn't find the word anywhere in the paper.

So your question is about something that Einstein didn't write about. Thus you won't find the answer to your question as you write it in Einstein's paper, because he was writing about somethign else. As others have remarked, you may find your answers couched in terms of "photons", which Einstein didn't use in his 1905 paper, in more modern sources.

Let's look at the section heading of the section in which your quote is taken from.

§6. Transformation of the Maxwell-Hertz Equations for Empty Space.

In this context, Einstein's remarks make perfect sense. If you pick up a book on Maxwell's equations, a section on antenna theory specifically should talk about the near and far fields of antennas, and provide you with the missing context of Einsein's remarks.

THis might be an interesting exercise, but it won't really help you much to learn special relativity, if that's your goal. I'm guessing that's what your goal is, but I don't really know, so if you have some other goal, perhaps you do want to read more about the Maxwell-Hertz equations so that you can understand why Einstein made remarks about the near and far fields.
 
  • #20
pervect said:
Let's look at the section heading of the section in which your quote is taken from.

§6. Transformation of the Maxwell-Hertz Equations for Empty Space.

Sorry, my quote in #15 comes from §7.
 
  • #21
vela said:
Einstein uses the far-field approximation because that's where only the wavelike solution survives. Near the source, you'd have other significant contributions to the changing electric and magnetic fields, which would make the analysis harder, and which would obscure the points he was trying to make.

I'm not sure that's his intention, because, at the beginning of §7, he uses the far-field approximation to approximate a plane wave from the circular waves produced by a point source, and he continues his derivations from there, with no mention of near-field significant contributions.
 
Last edited:
  • #22
Ibix said:
As far as I'm aware it can be derived from applying the Lorentz transforms to to a distance ##\lambda## making an angle ##\theta## to the x-axis in order to get ##\lambda'## and then using ##\nu'=c/\lambda'##.

thanks, I'm a little confused about how to begin. does it involve the distance between two events? because we also have to take note of the relativity of simultaneity, I'm guessing the wavelengths are all calculated at a simultaneous moment.
 
  • #23
tade said:
thanks, I'm a little confused about how to begin. does it involve the distance between two events? because we also have to take note of the relativity of simultaneity, I'm guessing the wavelengths are all calculated at a simultaneous moment.

Here's one possible setup, involving "standard configuration" of a primed and unprimed frame:

In the primed frame, a spectrometer remains at rest at the origin while a light-source moving parallel to the ##x^\prime##-axis [edit: in the negative ##x^\prime##-direction, as per standard configuration] briefly sends a monochromatic light wave directly toward the spectrometer. The unprimed frame is the light-source's rest frame.

The goal is to find an expression for the wavelength (and ultimately the frequency) of the light as measured in the primed frame. Steps:
  • Use time dilation to express the wave's primed period in terms of its unprimed wavelength.
  • Express the (primed) distance the light travels during the primed period in terms of the unprimed wavelength.
  • Express the (primed) radial component of the light-source's displacement during the primed period in terms of the unprimed wavelength. (This will involve the cosine of the primed angle between the light's velocity vector and the positive ##x^\prime##-direction.)
  • Sum the previous two results—that's your primed wavelength in terms of the unprimed wavelength and the aforementioned primed angle. You may also Lorentz-transform the primed angle to the equivalent corresponding [edited] unprimed angle (aberration).
 
Last edited:
  • Like
Likes   Reactions: Ibix
  • #24
It's worth pointing out that this thread has segued from the question in the title (energy-momentum transformations for photons) to the transformations for light. This is a good thing.
 
  • #25
Nugatory said:
It's worth pointing out that this thread has segued from the question in the title (energy-momentum transformations for photons) to the transformations for light. This is a good thing.

True, but if we're not going to invoke the Planck–Einstein relation then aren't we barking up the wrong tree by transforming frequency?
 
  • #26
SiennaTheGr8 said:
True, but if we're not going to invoke the Planck–Einstein relation then aren't we barking up the wrong tree by transforming frequency?
Not really. Frequency is a perfectly well defined concept for classical waves and the 4-frequency of a wave is a perfectly well defined 4-vector with the appropriate accompanying component transformations.
 
  • #27
Orodruin said:
Not really. Frequency is a perfectly well defined concept for classical waves and the 4-frequency of a wave is a perfectly well defined 4-vector with the appropriate accompanying component transformations.

Sorry, I meant for the purpose of the thread (i.e., deriving the transformation of the energy/momentum of light). We'd want to transform amplitude instead, right?
 
  • #28
SiennaTheGr8 said:
Sorry, I meant for the purpose of the thread (i.e., deriving the transformation of the energy/momentum of light). We'd want to transform amplitude instead, right?
Right, but Einstein's 1905 paper showed that amplitude (per wave solutios of Maxwell's equations) transforms the same way as frequency. Lest one think this implies a classical derivation of the frequency/energy relations, this is not the case. Classically, you could associated any amplitude to a chosen frequency. It is just that having specified them in one frame, they transform the same to a different frame.
 
  • #29
PAllen said:
Right, but Einstein's 1905 paper showed that amplitude (per wave solutios of Maxwell's equations) transforms the same way as frequency. Lest one think this implies a classical derivation of the frequency/energy relations, this is not the case. Classically, you could associated any amplitude to a chosen frequency. It is just that having specified them in one frame, they transform the same to a different frame.

Yes, that's my point—it's a light-wave's amplitude (not frequency) that's directly proportional to its energy.

If I recall, in that paper Einstein calls it "remarkable" that light's energy and frequency transform in the same way. Surely he was thinking that this result would seem to support his recent work on the photoelectric effect?
 
  • #30
tade said:
thanks, I'm a little confused about how to begin. does it involve the distance between two events? because we also have to take note of the relativity of simultaneity, I'm guessing the wavelengths are all calculated at a simultaneous moment.
The way @SiennaTheGr8 explained it is what I had in mind. There's a bit more complexity than I alluded to because of the necessity of transforming the angles, which I had forgotten - apologies.
 

Similar threads

  • · Replies 1 ·
Replies
1
Views
739
  • · Replies 32 ·
2
Replies
32
Views
9K
  • · Replies 17 ·
Replies
17
Views
4K
  • · Replies 25 ·
Replies
25
Views
2K
  • · Replies 7 ·
Replies
7
Views
4K
  • · Replies 1 ·
Replies
1
Views
2K
  • · Replies 27 ·
Replies
27
Views
6K
  • · Replies 25 ·
Replies
25
Views
2K
  • · Replies 5 ·
Replies
5
Views
2K
  • · Replies 31 ·
2
Replies
31
Views
10K