Magnetic field Calculation of a Square Wire Loop (with a changed segment)

Click For Summary
SUMMARY

The discussion focuses on calculating the magnetic field produced by a square wire loop with modified segments. The user derived the magnetic field for segments B1 and B5, resulting in a value of 19.5 µT each, leading to a net field of 39.1 µT out of the page. For segments B3 and B6, the calculation yielded a net field of 78.2 µT into the page. The user expressed confusion regarding the integration limits used in their calculations, specifically integrating from 0 to 2a and 0 to a, and sought clarification on the correct approach for finite wire segments.

PREREQUISITES
  • Understanding of magnetic field calculations for current-carrying wires
  • Familiarity with integral calculus, particularly in the context of physics
  • Knowledge of Biot-Savart Law and its application to finite wire segments
  • Proficiency in using the permeability constant (μ) in magnetic field equations
NEXT STEPS
  • Review the Biot-Savart Law for finite wire segments
  • Study the derivation of magnetic fields for finite length wires
  • Practice integral calculus specifically for physics applications
  • Explore the impact of wire segment length on magnetic field calculations
USEFUL FOR

Physics students, electrical engineers, and anyone involved in electromagnetic field calculations will benefit from this discussion.

Physicslearner500039
Messages
124
Reaction score
6
Homework Statement
In Fig. 29-58, length a is 4.7 cm (short) and current i is 13 A. What are the (a) magnitude and (b) direction (into or out of the page) of the magnetic field at point P?
Relevant Equations
No equations from the problem
B2.JPG
I tried to solve the above i have one confusion here.
I have marked the areas as shown
B2_sol.JPG


B2 = B4 = 0;
B1 , B5 Out of Page ; B3, B6 Into the Page.
B1 and B5 Calculation
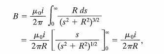
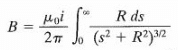
Now main doubt is regarding the B field of the finite wire let us say 1. I took the derivation of the infinite wire as below from the textbook
B2sol1.JPG

Now instead of integrating from 0 to ∞ for 1, I integrated from 0 to 2a?

B1 = (μ *13)*[(2*a)/(2*√2*a)]/(2*π*2*a); Where R replaced with 2a
B1 = 19.5uT
Similarly for B5 = 19.5uT
Net field out B1 + B5 = 39.1uT
B3 and B6 Calculation
The same equation as above but integrated from 0 to a?
B3=B6 = (μ *13)*[a/√2*a]/(2*π*a); here i replaced R with a
B3=B6= 39.1; Net field into the paper B3+B6 = 78.2 uT

Hence the final field into the paper is = 78.2 - 39.1 = 39 uT;
I have doubts on the integrals of 0 to 2a and 0 to a is it correct? The answer is not matching it is 20uT and into the paper. Please advise.
 
Physics news on Phys.org
For the infinite line you have

1579284172285.png


It might be better to rewrite this as ##\large B = \frac {\mu_0 i}{4 \pi}\int_{-\infty}^{\infty} \frac{R ds}{(s^2+R^2)^{3/2}}##

How would this be modified for a finite length?
 
  • Like
Likes   Reactions: Physicslearner500039

Similar threads

  • · Replies 8 ·
Replies
8
Views
2K
Replies
4
Views
1K
  • · Replies 4 ·
Replies
4
Views
3K
  • · Replies 1 ·
Replies
1
Views
2K
  • · Replies 9 ·
Replies
9
Views
2K
Replies
8
Views
3K
Replies
4
Views
3K
  • · Replies 10 ·
Replies
10
Views
2K
  • · Replies 5 ·
Replies
5
Views
4K
Replies
8
Views
2K