Magnetic field of the planar wave

Click For Summary

Homework Help Overview

The discussion revolves around understanding the magnetic field associated with planar electromagnetic waves, particularly focusing on the relationships between electric and magnetic fields as described by Maxwell's equations and the properties of vector cross products.

Discussion Character

  • Conceptual clarification, Mathematical reasoning, Problem interpretation

Approaches and Questions Raised

  • Participants explore the implications of the right-hand rule in vector cross products, specifically questioning the sign of the resulting vector. There is also a discussion about the application of the Maxwell-Faraday equation and its relevance to the problem at hand.

Discussion Status

The conversation includes attempts to clarify the mathematical principles involved and the application of specific equations related to electromagnetic waves. Some participants express uncertainty about the adequacy of the methods discussed, while others reference classroom solutions and seek alternative approaches.

Contextual Notes

There is mention of specific formulas used in class, and the discussion hints at a reliance on established definitions and rules within the context of electromagnetic theory. The conversation reflects an exploration of foundational concepts without reaching a definitive conclusion.

Andrei0408
Messages
50
Reaction score
8
Homework Statement
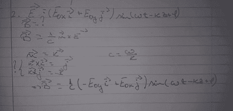
The electric field for a planar electromagnetic wave propagating in a free space on Oz axis is 𝐸⃗ =
(𝐸0𝑥𝑖 + 𝐸0𝑦𝑗 ) 𝑠𝑖𝑛(𝜔𝑡 − 𝜅𝑧 + 𝜑). Find the magnetic field 𝐵⃗ of the planar wave.
Relevant Equations
Written on paper
I understand that because the vectors are perp, k x i = j, but why is k x j = -i? Why the minus? Could you please explain?
 

Attachments

  • 130713713_821887101705235_4458306952392253975_n.jpg
    130713713_821887101705235_4458306952392253975_n.jpg
    38.6 KB · Views: 156
  • Like
Likes   Reactions: Delta2
Physics news on Phys.org
There isn't much to explain, it follows from the definition of the unit vectors in cartesian system and from the definition of cross product that uses the right hand rule
Right-hand rule - Wikipedia
 
I fail to see how you going to answer the question though.. Aren't you going to use the Maxwell-Faraday equation :
$$\nabla\times\mathbf{E}=-\frac{\partial\mathbf{B}}{\partial t}$$
 
This is the way we solved it in class, is there another way?
 

Attachments

  • 1607525804241.png
    1607525804241.png
    18.2 KB · Views: 167
Andrei0408 said:
This is the way we solved it in class, is there another way?
Yes ok , apparently you use this formula $$\mathbf{B}=\frac{1}{c}\mathbf{u}\times\mathbf{E}$$ which is correct for plane EM waves with propagation vector ##\mathbf{u}##. It is a consequence from Maxwell-Faraday equation.

Actually it holds for all waves where the electric field is $$\mathbf{E}=\mathbf{E_0}f(\mathbf{u}\cdot\mathbf{r}\pm \omega t)$$ where ##\mathbf{E_0}## any constant vector and ##f## any real function of a real variable.
 
Last edited:
  • Like
Likes   Reactions: Steve4Physics
Delta2 said:
Yes ok , apparently you use this formula $$\mathbf{B}=\frac{1}{c}\mathbf{u}\times\mathbf{E}$$ which is correct for plane EM waves with propagation vector ##\mathbf{u}##. It is a consequence from Maxwell-Faraday equation.
Thank you!
 
  • Like
Likes   Reactions: Delta2

Similar threads

Replies
8
Views
2K
Replies
12
Views
2K
Replies
16
Views
2K
Replies
2
Views
1K
  • · Replies 1 ·
Replies
1
Views
1K
Replies
1
Views
2K
  • · Replies 9 ·
Replies
9
Views
2K
  • · Replies 6 ·
Replies
6
Views
2K
  • · Replies 5 ·
Replies
5
Views
1K
  • · Replies 1 ·
Replies
1
Views
1K