Making sense of the Differential of F at p, (where F: R^n -> R^m)

  • Context: Graduate 
  • Thread starter Thread starter bigbalpha
  • Start date Start date
  • Tags Tags
    Differential
Click For Summary
SUMMARY

The discussion focuses on the differential of a function F mapping from R^n to R^m, as presented in "Intro to Smooth Manifolds." The key point is the distinction between the operator dFp and the double-indexed derivative dF^j/dx^i, both of which relate to the Jacobian matrix. The confusion arises from the symmetry of the relation and the absence of an implied sum for the operator dFp, which represents only the i-th component of the vector. The Jacobian matrix serves as the coordinate representation, while dFp denotes the operator itself, independent of coordinate choice.

PREREQUISITES
  • Understanding of differential calculus in multiple dimensions
  • Familiarity with Jacobian matrices and their properties
  • Knowledge of smooth manifolds and their mappings
  • Basic concepts of vector spaces and linear transformations
NEXT STEPS
  • Study the properties of Jacobian matrices in detail
  • Explore the concept of differential forms in smooth manifolds
  • Learn about the implications of coordinate transformations on derivatives
  • Read the essay on derivatives linked in the discussion for deeper insights
USEFUL FOR

Mathematicians, physicists, and students studying differential geometry or smooth manifolds, particularly those interested in the application of Jacobian matrices and differentials in multivariable calculus.

bigbalpha
Messages
4
Reaction score
0
TL;DR
I understand dFp as the jacobian (matrix of derivatives of F) but this specific relation shown below I am having a hard time understanding when I think of it in terms of matrix multiplication as an operator on a vector.
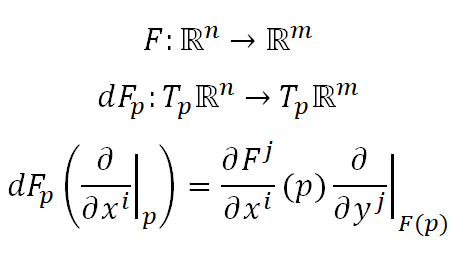
Here is a snip of the fundamental relation:
differential.PNG

This is from the book "Intro to Smooth Manifolds" and in this section it is simplified down to F as a map between just the real spaces R^n -> R^m (as shown above).
I understand the meaning of this relation, as the following: The rightside is the vector in the codomain of dFp, where the jacobian values are the components of the vector along the basis d/dy^j, mapped by dFp, from the i'th basis vector in the domain.

To my understanding, the rightside has an implied sum over the index j (1 - m), and i is a free index on both sides.

Fundamentally, the symmetry of this relation is what is confusing me. dFp is an operator, on vectors in the domain. This makes it a matrix (jacobian matrix), then how come there isn't an implied sum, just as on the rightside? And then what is the difference between the symbol dFp on the left, and the double-indexed derivative on the right (dF^j/dx^i), both are the jacobian matrix acting on vectors, right?
 

Attachments

  • differential.PNG
    differential.PNG
    4.3 KB · Views: 388
Last edited:
Physics news on Phys.org
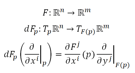
bigbalpha said:
Fundamentally, the symmetry of this relation is what is confusing me. dFp is an operator, on vectors in the domain. This makes it a matrix (jacobian matrix), then how come there isn't an implied sum, just as on the right side?
Because it is the formula for the ##i-##th component, not the entire vector: ##w_i=A^j_iv_j##.
And then what is the difference between the symbol dFp on the left, and the double-indexed derivative on the right (dF^j/dx^i), both are the jacobian matrix acting on vectors, right?
Yes, but the Jacobian matrix is the coordinate form, whereas ##dF_p## only names the operator, regardless which coordinates are chosen.

If you like you can read our essay about it:
https://www.physicsforums.com/insights/the-pantheon-of-derivatives-i/
 

Similar threads

  • · Replies 7 ·
Replies
7
Views
3K
  • · Replies 10 ·
Replies
10
Views
4K
  • · Replies 3 ·
Replies
3
Views
4K
  • · Replies 3 ·
Replies
3
Views
2K
Replies
15
Views
3K
  • · Replies 22 ·
Replies
22
Views
4K
  • · Replies 3 ·
Replies
3
Views
2K
  • · Replies 2 ·
Replies
2
Views
3K
  • · Replies 4 ·
Replies
4
Views
2K
  • · Replies 6 ·
Replies
6
Views
4K