Mass of a ball with different density

Click For Summary

Homework Help Overview

The discussion revolves around a problem involving a ball with a specific density and radius, which has a smaller ball removed from it and replaced with a material of different density. Participants are exploring how to calculate the new mass of the modified ball and its implications for further motion analysis.

Discussion Character

  • Exploratory, Assumption checking, Problem interpretation

Approaches and Questions Raised

  • Participants discuss the method of calculating the new mass by subtracting the mass of the removed section and adding the mass of the new material. Questions arise regarding the reasoning behind the mass calculation and the expression marked by the original poster.

Discussion Status

The discussion is ongoing, with participants providing insights into the mass calculation process. There is an acknowledgment of the need for further clarification regarding the expression highlighted by the original poster, and additional context about the problem setup has been introduced.

Contextual Notes

Participants note that the problem involves not only the mass calculation but also the dynamics of the ball on a frictional surface, leading to questions about the period of movement, which adds complexity to the discussion.

asi123
Messages
254
Reaction score
0

Homework Statement



Hey guys.
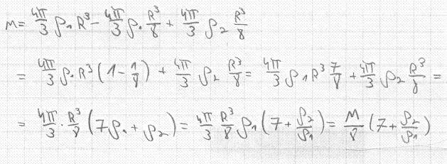
Look at this one, I have a ball with density p1 and radius R. Inside the ball they dig another ball with radius R/2 and fill it up with material that has density p2. My question is, why does the mass "m" equals to what they wrote in the answer (marked with red)? why do I need to subtract the densitys in order to find the new mass?
10x.

Homework Equations





The Attempt at a Solution

 

Attachments

  • 1.jpg
    1.jpg
    30.1 KB · Views: 443
Physics news on Phys.org
M is the mass of a solid ball of density p1 and radius R. But you've cut out a ball of radius R/2 and replaced it with a different density. To find the new mass of the ball: subtract the mass you cut out (p1) and add back the mass you replaced it with (p2).
 
Still, this is what I got (in the pic).
 

Attachments

  • scan0004.jpg
    scan0004.jpg
    26.8 KB · Views: 457
Looks good to me.
 
Ok, so do you know maybe what is that expression I marked in red could be?
 
asi123 said:
Ok, so do you know maybe what is that expression I marked in red could be?
Beats me. Where did you get it?

I assume that you've presented the problem accurately: Find the new mass of the large ball?
 
Oh, sorry, I forgot to post the entire problem...:blushing:
Anyway, they did what they did with ball, then, they put it on a surface with friction, diverted it a bit and then release (by a "bit" I mean that the angle is really small). the question is to find the period time T of the movement of the ball.
 

Attachments

  • 1.jpg
    1.jpg
    31.5 KB · Views: 445

Similar threads

  • · Replies 7 ·
Replies
7
Views
3K
Replies
3
Views
3K
Replies
4
Views
2K
Replies
14
Views
4K
  • · Replies 8 ·
Replies
8
Views
3K
  • · Replies 16 ·
Replies
16
Views
13K
  • · Replies 1 ·
Replies
1
Views
2K
  • · Replies 5 ·
Replies
5
Views
5K
  • · Replies 3 ·
Replies
3
Views
3K
  • · Replies 4 ·
Replies
4
Views
3K