Mass of star as function of Luminosity, Temperature and size

Click For Summary

Discussion Overview

The discussion revolves around the mathematical relationships that could define the mass of a theoretical star based on its luminosity, surface temperature, and radius. Participants explore the connections between these properties, particularly focusing on main sequence stars, and seek to understand if a more comprehensive formula exists beyond the known empirical relations.

Discussion Character

  • Exploratory
  • Technical explanation
  • Debate/contested
  • Mathematical reasoning

Main Points Raised

  • One participant seeks a mathematical relation for mass as a function of luminosity, temperature, and radius, expressing uncertainty about existing models.
  • Another participant provides empirical relations for radius and luminosity based on mass, noting that these relations are discontinuous at a specific mass threshold.
  • Some participants discuss the limitations of existing formulas, suggesting that while stellar models exist, they are complex and often require simulations rather than simple equations.
  • There is a mention of the need to consider additional factors such as metallicity when estimating mass from luminosity and temperature.
  • One participant asserts that no straightforward formula exists for determining mass from luminosity and temperature for all types of stars, excluding certain stellar types like black holes and neutron stars.
  • Another participant highlights that while equations exist to describe stellar structure, they are coupled differential equations that are difficult to solve without knowing all parameters.

Areas of Agreement / Disagreement

Participants generally agree that a simple formula for mass as a function of luminosity and temperature does not exist for all stars. However, there are competing views on the applicability of existing empirical relations and the complexity of stellar modeling.

Contextual Notes

Participants note that the relationships discussed are empirical and may not hold universally across all star types. The discussion also highlights the complexity of stellar physics and the assumptions inherent in existing models.

Barnak
Messages
62
Reaction score
0
Hello all,

First, since I'm just a physics teacher, and not an astrophysicist, my questions may sound "obscure" or badly formulated. Especially since I'm not an English native speaker. Sorry about that :shy:

I need a mathematical relation which could give the mass of a "theoretical" star as a function of its Luminosity, surface Temparature and possibly its Radius. I already know the standard Main Sequence Luminosity-Mass relation :

[tex]\frac{L}{L_{Sol}} = (\frac{M}{M_{Sol}})^a[/tex]

where typically [tex]3 < a < 4[/tex], and [tex]a \simeq 3.4[/tex]. This could be inverted to give the Mass as a function of the Luminosity. However, I would like something "stronger", if such a relation exists. So suppose I have access to the star's Luminosity, surface Temperature and Radius, what would be its theoretical Mass ?

M(L, T, R) = ?

I'm not taking any metallicity into account here.

Also, I would like to know a precise formulation of "Main Sequence stars" on a Hertzsprung-Russell diagram : what is the mathematical curve which could define the Main Sequence part of the H-R diagram ? In this case, I would like to know the Luminosity-Temperature function L(T) which could draw the "S" shaped curve on the H-R diagram :

L(T) = ?

and not just the Stefan-Boltzmann law given by [tex]L(T) = 4 \pi \sigma R^2 T^4[/tex], since I don't know R as a function of T.

Any suggestion ?
 
Last edited:
Astronomy news on Phys.org
For main sequence stars anyway, the relation has to do with fusion:
The total fuel supply of a star is proportional to its mass. The rate at which a star uses fuel is proportional to its luminosity. What we get (empirically) is something like

[tex]R/R_{sun} = 1.06(M/M_{sun}) ^{0.945}, \ \ M < 1.66M_{sun},[/tex]
[tex]R/R_{sun} = 1.33(M/M_{sun}) ^{0.555}, \ \ M > 1.66M_{sun},[/tex]
[tex]L/L_{sun} = 0.35(M/M_{sun}) ^{2.62}, \ \ M < 0.7M_{sun},[/tex]
[tex]L/L_{sun} = 1.02(M/M_{sun}) ^{3.92}, \ \ M > 0.7M_{sun}.[/tex]

Maybe you have seen the plots of these relationships. Anyway, from this you can also show how the lifetime of a star is also related to its mass. To go any further you have to build a stellar model.
 
blkqi said:
[tex]L / L_{sun} = 0.35(M / M_{sun})^{2.62}, \ \ M < 0.7M_{sun},[/tex]
[tex]L / L_{sun} = 1.02(M / M_{sun})^{3.92}, \ \ M > 0.7M_{sun}.[/tex]

These relations are discontinuous at [tex]M = 0.7M_{sun}[/tex] !
 
Barnak said:
These relations are discontinuous at [tex]M = 0.7M_{sun}[/tex] !
well they should be equivalent there. so in that case it doesn't matter which equation you use. I simply copied them from a book. Some books won't even show a bend in the relationship, but to be accurate the plot is not linear. These are some of the observations we need to take into account when building a model
 
Barnak said:
These relations are discontinuous at [tex]M = 0.7M_{sun}[/tex] !

Amend < or > to <= or >= accordingly then. Sheesh!
 
Ok, let me restate my question differently, since some variables aren't independent.

Luminosity is related to the Radius and Temperature according to the following formula :

[tex]L(T, R) = 4 \pi \sigma R^2 T^4[/tex].

So, suppose we can measure the Luminosity and the surface Temperature alone (or the Radius and the Tempurature, or the Radius and the Luminosity). Then, can we deduce the Mass, for ANY star ? (not just in the Main Sequence stars. I'm excluding black holes and neutron stars.) If so, what are the formulae ?

I guess the answer is that there are no such formulae, but I simply need a clear confirmation.
 
In principle I think you can do this (and I believe stellar astronomers do) but I don't think there are simple formulae for it. The results come from simulations of stellar physics, so would be more in the form of a look up table that summarises the results of the simulations. Possibly there are relatively simplish formulas that fit the simulations results accurately, but I'm not aware of the details.

Note that there are other factors aside from the Luminosity and temperature, such as the metallicity, that so also need to be taken into account in order to get a good idea of the mass.

I think there are some important cases where orbital periods of binary stars have been mapped out given a gravitaional mass. This gives an empirical way to test the results from simulations.
 
Barnak said:
Ok, let me restate my question differently, since some variables aren't independent.

Luminosity is related to the Radius and Temperature according to the following formula :

[tex]L(T, R) = 4 \pi \sigma R^2 T^4[/tex].

So, suppose we can measure the Luminosity and the surface Temperature alone (or the Radius and the Tempurature, or the Radius and the Luminosity). Then, can we deduce the Mass, for ANY star ? (not just in the Main Sequence stars. I'm excluding black holes and neutron stars.) If so, what are the formulae ?

I guess the answer is that there are no such formulae, but I simply need a clear confirmation.
The theoretical relationship you are looking for does not exist. If it did, we would use it. The best we can do is write out the subroutine and watch the physics play out the entire evolution. If you include dwarfs and giants even the empirical relationships I gave above fail.

As Wallace pointed out, we can approximate masses in multiple star system pretty well from the orbital velocities and period, especially if the system is edge on.
 
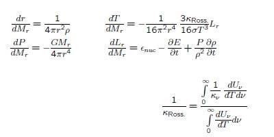
There are in fact equations that "build" a star (i.e. give relations of Pressure with Mass with Luminosity with Temperature with Radius), but they happen to be coupled differential equations which is quite difficult to solve, especially if you don't know all the parameters.

These equations are also, at best, approximations which simplify the stellar model a ridiculous amount. The equations assume hydrostatic equilibrium, no convective instabilities, and a myriad of other things. In short they are:
Stellarequations.jpg


If you don't know what some of the symbols represent, just ask...but there's a lot of symbols so I won't be giving a full legend here.
As you can see...it's pretty complicated already, even with all the assumptions inherent in this model. For a full-fledged stellar model, computer simulation is necessary.

I am not aware of any simple relation such as M(L,T,R)=? I suppose you could just look at a few hundred thousand Main sequence stars, get their M, L, T, and R and get some empirical relations like those in posts above...that's probably the best way to go.
 
  • #10
Thanks for the explanations. Now it's clear that the relations I was looking for doesn't exist at all. Well, such is life !
 

Similar threads

  • · Replies 11 ·
Replies
11
Views
3K
  • · Replies 0 ·
Replies
0
Views
1K
  • · Replies 1 ·
Replies
1
Views
3K
  • · Replies 21 ·
Replies
21
Views
3K
  • · Replies 15 ·
Replies
15
Views
12K
  • · Replies 8 ·
Replies
8
Views
3K
  • · Replies 32 ·
2
Replies
32
Views
8K
  • · Replies 10 ·
Replies
10
Views
4K
  • · Replies 3 ·
Replies
3
Views
4K
  • · Replies 75 ·
3
Replies
75
Views
10K