Mathcad: differentiating with indexes

Click For Summary
SUMMARY

The forum discussion centers on an issue with differentiating using an array index in Mathcad. The user encounters an error stating "a name is required here" when attempting to differentiate a single-column matrix, ts1, which contains 5 rows. A solution is proposed to assign the indexed value of ts1 to a variable, t, and then perform the differentiation on t instead. This approach resolves the error and allows for successful differentiation.

PREREQUISITES
  • Familiarity with Mathcad software
  • Understanding of matrix operations in Mathcad
  • Basic knowledge of differentiation concepts
  • Experience with variable assignment in programming or mathematical software
NEXT STEPS
  • Explore Mathcad's documentation on matrix differentiation
  • Learn about variable assignment and manipulation in Mathcad
  • Investigate common errors in Mathcad related to array indexing
  • Review advanced differentiation techniques in Mathcad
USEFUL FOR

This discussion is beneficial for Mathcad users, mathematicians, and engineers who are working with matrix differentiation and seeking to troubleshoot common errors in their calculations.

Uku
Messages
79
Reaction score
0
Hello!

The picture says a thousand words:
http://www.hot.ee/jaaniussikesed/v6rrand.jpg

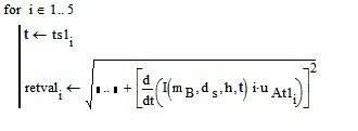
In the last member under the square root, there is the error. For some reason I am not able to differentiate with an array index, ts1 is a single column 5 row matrix. How to solve this? The error says "a name is required here".

Thanks,
U.
 
Last edited by a moderator:
Physics news on Phys.org
Uku said:
Hello!

The picture says a thousand words:
http://www.hot.ee/jaaniussikesed/v6rrand.jpg

In the last member under the square root, there is the error. For some reason I am not able to differentiate with an array index, ts1 is a single column 5 row matrix. How to solve this? The error says "a name is required here".

Thanks,
U.

Try assigning ts1[i to a variable, t say, and differentiate that instead.

attachment.php?attachmentid=51500&stc=1&d=1349334622.jpg
 

Attachments

  • phys - 12 10 04 differentiation 01.jpg
    phys - 12 10 04 differentiation 01.jpg
    4.5 KB · Views: 1,551
Last edited by a moderator:

Similar threads

  • · Replies 2 ·
Replies
2
Views
2K
Replies
2
Views
6K
Replies
1
Views
8K
  • · Replies 4 ·
Replies
4
Views
9K
  • · Replies 12 ·
Replies
12
Views
3K
  • · Replies 15 ·
Replies
15
Views
5K
  • · Replies 1 ·
Replies
1
Views
13K
  • · Replies 3 ·
Replies
3
Views
3K
  • · Replies 4 ·
Replies
4
Views
2K
  • · Replies 8 ·
Replies
8
Views
1K