Mathematical Biology- Coupled ODEs

Click For Summary

Homework Help Overview

The discussion revolves around coupled ordinary differential equations (ODEs) in the context of mathematical biology. Participants are examining the implications of initial conditions and the behavior of the functions involved over time.

Discussion Character

  • Exploratory, Assumption checking, Conceptual clarification

Approaches and Questions Raised

  • The original poster attempts to differentiate one of the equations to derive a second-order ODE, expressing confusion about the implications of setting ##v(0)=0## and its effect on the solution for ##u(t)##. Other participants question the stability of the solution and the necessity of checking higher derivatives to assess behavior over time.

Discussion Status

The discussion is active, with participants exploring different interpretations of the initial conditions and their consequences. Some guidance has been offered regarding the behavior of derivatives, but there is no explicit consensus on the implications of the initial conditions or the stability of the solutions.

Contextual Notes

Participants are grappling with the clarity of the problem statement, particularly regarding the assumptions about the behavior of the functions ##u## and ##v## over time based on the initial condition ##v(0)=0##.

binbagsss
Messages
1,291
Reaction score
12

Homework Statement



Attached

mbq.png


Homework Equations



Below

The Attempt at a Solution



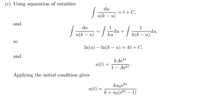
To be honest I was going to differentiate one equation to get a 2nd order ODE and plug in the other equation, since to me ##v(0)=0## is not strong enough to do as below, am I completely mis-interpreted?

solution here:

mbsol.png


Am I being stupid but I have no idea how we have set ##v(t)=0## for all time, de-coupling the equations trivially, and then solved for ##u(t)## , isn't this effectively claiming this is how ##u## varies with ##t## in general, given simply that ##v(0)=0##, to me this is simply the behaviour at ##t=0##? Or is the idea something like this holds for ## t## small only - if so, isn't this unclear in the question since it doesn't say to find how ##u## varies with ##t## small or anything like that.

Thanks
 

Attachments

  • mbsol.png
    mbsol.png
    10.3 KB · Views: 514
  • mbq.png
    mbq.png
    13.5 KB · Views: 873
Physics news on Phys.org
Since ##v'## is zero if ##v## is zero, you cannot have ##v(t) \neq 0## for any ##t## if ##v(0) = 0##.
 
Orodruin said:
Since ##v'## is zero if ##v## is zero, you cannot have ##v(t) \neq 0## for any ##t## if ##v(0) = 0##.
ah k thanks
why wouldn't you have to check if d^2 v /dt^2 is >0 or <0 to assess whether it is stable or not?
 
You will find that all derivatives are equal to zero. This follows directly from differentiating the differential equation. The nth derivative will have terms that are proportional to the function itself or to its lower derivatives. Since all of those are zero, the nth derivative is zero as well.
 
Orodruin said:
You will find that all derivatives are equal to zero. This follows directly from differentiating the differential equation. The nth derivative will have terms that are proportional to the function itself or to its lower derivatives. Since all of those are zero, the nth derivative is zero as well.
d^2v\dt^2 has no v dependence? well it does via u but then you're bringing du/dt in it
 
It has two terms. One is proportional to v and the other to v’. Both v and v’ are zero at t=0 and so v’’(0)=0. It does not matter what u or u’ is.
 

Similar threads

Replies
8
Views
2K
Replies
1
Views
2K
  • · Replies 4 ·
Replies
4
Views
3K
  • · Replies 1 ·
Replies
1
Views
2K
Replies
6
Views
2K
  • · Replies 3 ·
Replies
3
Views
2K
  • · Replies 2 ·
Replies
2
Views
2K
  • · Replies 2 ·
Replies
2
Views
2K
  • · Replies 4 ·
Replies
4
Views
3K
  • · Replies 1 ·
Replies
1
Views
2K